Let us see the effect of change in voltage and frequency on the torque-slip characteristics of an induction motor.
Effect of Change in
Voltage and Frequency
Let
us see the effect of change in voltage and frequency on the torque-slip
characteristics of an induction motor. This effect can be studied by analyzing
two cases as,
Case
1 : Halving the applied voltage, keeping frequency normal.
When
the motor is running with slip s, the torque is,

Now
standstill e.m.f. E2 is proportional to the supply voltage.

Generally
on full load, slip s is very small hence (sX2)2 <<
R22 hence neglecting it

If
supply voltage is made half, then the torque will reduce by the factor (1/4),
in the running condition. The slip at which Tmax occurs remains same but the
value of Tmax reduces. The corresponding speed-torque characteristics are shown
in the Fig. 5.15.1.
Case
2 : Halving both the applied voltage and frequency
For
an induction motor, the air gap flux is given by,

Thus
if f is changed, air gap flux also changes. This may result into saturation of
stator and rotor cores. Such a saturation may leads to sharp increase in the
current. But if (V/f) ratio is maintained constant, then air gap flux remains
constant. Thus when both are halved air gap flux remains constant but as
frequency is reduced, the shape of torque-slip characteristics remains same.
Let Vn = Normal voltage, fn
= Normal frequency
V = New voltage, f = New frequency
V
/ f = constant i.e. Vn/fn
= V/f i.e. V = f / fn Vn .
As
frequency is changed, the nominal rotor standstill reactance referred to stator
also changes.
X2n
= Nominal rotor reactance
X2 = New rotor reactance
X2 = (f/fn) X2n
As
frequency changes, Ns changes hence,
ws
= (f/fn) wsn
where,
wsn = Nominal speed ws
= New speed
sm
= Nominal slip at maximum torque = R2/X2

As
frequency is halved with V/f constant, the maximum torque remains same but sm
increases
while the starting torque increases. Hence the torque speed characteristics are
as shown in the Fig. 5.15.2.

Example
5.15.1 A 3-phase, 4 pole, 50 Hz squirrel cage induction
motor has rotor leakage impedance of 1 + j2 Ω /Ph, standstill voltage of 100 V
per phase driving a constant torque load at 0.03 slip, what is speed of the
motor, if
i)
Supply voltage is increased by 25 % and frequency is constant.
ii)
Supply voltage is increased by 25 % and frequency is decreased by 25 %.
Solution
:
P = 4, f = 50 Hz, R2 = 1 Ω, X2 = 2 Ω, E2ph
= 100 V, s1 = 0.03

Initially
with rated voltage the torque is,

As
voltage increases, E2 increases as E2 ∝ V, due to transformer
action. i) Torque constant, frequency constant, supply voltage increased by 25
%.
E2
increases by 25 % = 100 + 0.25 × 100 = 125 V

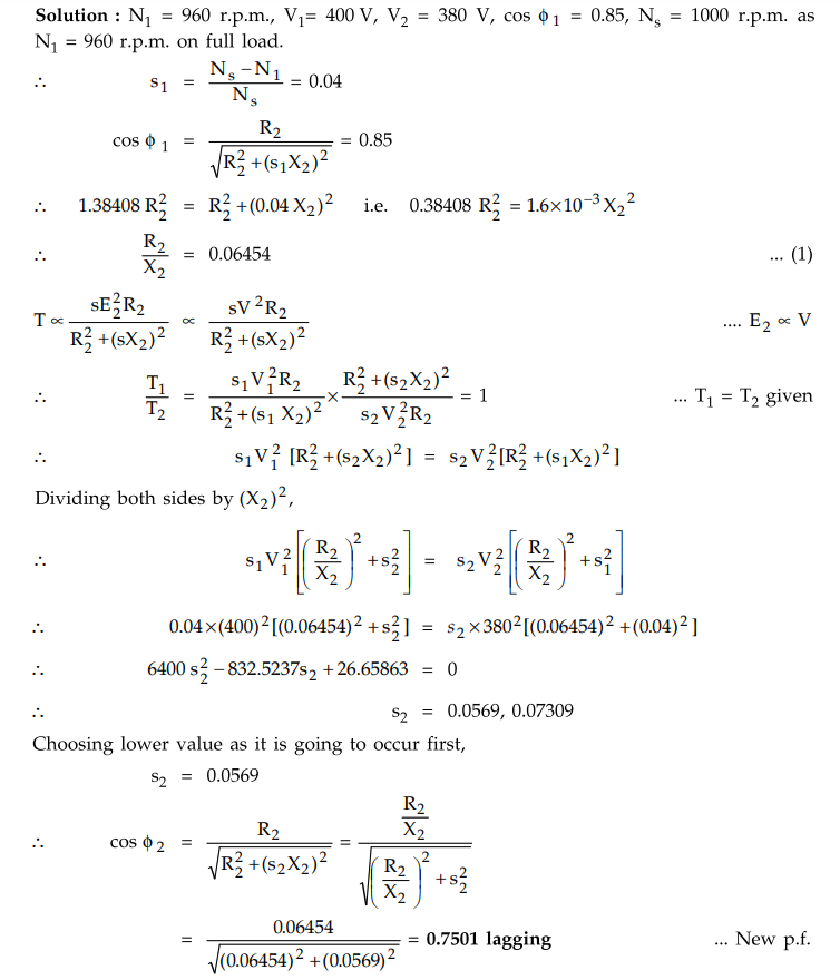
Example
5.15.2 A 3-phase induction motor has operating
p.f. of 0.85 at full load speed of 960 r.p.m. and at 400 V supply voltage. In
case the supply voltage falls to 380 V, find the operating p.f. at the same
full load torque.
Solution
:

Example
for Practice
Example
5.15.3 The rotor resistance and standstill reactance per
phase of a 3 phase induction motor are 0.015 and 0.09 ohm respectively. At
normal voltage full load slip is 3 %. Estimate the percentage reduction in
stator voltage to develop the full load torque at half the full load speed.
Also calculate the power factor.
[Ans.:
22.85 %, 0.308 lagging]
Review Question
1. Discuss briefly the effect on the speed-torque
characteristics of a 3 phase induction motor produced by : i) Halving the
applied voltage at normal frequency ii) Halving both the applied voltage and
frequency.
Electrical Machines II: UNIT III: a. Three Phase Induction Motor : Tag: Engineering Electrical Machines - II : Three Phase Induction Motor - Effect of Change in Voltage and Frequency
Electrical Machines II
EE3405 Machine 2 EM 2 4th Semester EEE Dept | 2021 Regulation | 4th Semester EEE Dept 2021 Regulation