• Consider a charged circular ring of radius r placed in xy plane with centre at origin, carrying a charge uniformly along its circumference. The charge density is ρL C/m .
Electric Field due to Charged Circular
AU : Dec.-14,19
•
Consider a charged circular ring of radius r placed in xy plane with centre at
origin, carrying a charge uniformly along its circumference. The charge density
is ρL C/m .
•
The point P is at a perpendicular distance 'z' from the ring as shown in the
Fig. 2.7.1.

•
Consider a small differential length dZ on this ring.
The
charge on it is dQ.

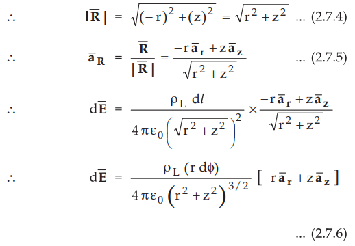
where
R = Distance of point P from dl
•
Consider the cylindrical coordinate system. For dl we are moving in direction
where dl = r dϕ
dl = r dϕ ... (2.7.2)
Now R2 = r2 + z2 ... from Fig. 2.7.1
•
While
can be obtained from its two components, in cylindrical system as
shown in the Fig. 2.7.1 (a). The two components are,
1.
Distance r in the direction of
, radially inwards i.e. 
2.
Distance z in the direction of 
... (2.7.3)

Key Point :
This method can be used conveniently to obtain
by identifying its
components in the direction of unit vectors in the co-ordinate system
considered.

Note :
The radial components of
at point P will be symmetrically placed in the
plane parallel to xy plane and are going to cancel each other. This is shown in
the Fig. 2.7.1 (b).

where
r = Radius of the ring
z
= Perpendicular distance of point P from the ring along the axis of the ring
•
This is the electric field at a point P (0, 0, z) due to the circular ring of
radius r placed in xy plane.
Ex. 2.7.1
A circular ring of charge with radius 5 m
lies in z = 0 plane with centre at origin. If the ρL = 10 nC/m, find
the point charge Q placed at the origin which will produce same
at the
point (0, 0, 5) m.
Sol. :
Use the procedure discussed above giving,

Example for Practice
Ex. 2.7.2 A ring of radius 6 m is placed in yz plane. It is centered at origin. Find electric field intensity at point (8, 0, 0) m. The line charge density is 18 nC/m.

Review Question
1. Obtain an expression for an electric field due to charged circular ring of radius 'h' placed in xy plane, at a point P (0, 0, z), having uniform line charge density of ρL C/m.
AU : Dec.-14,19, Marks 8

Electromagnetic Theory: Unit I: (b) Coulombs Law and Electric Field Intensity : Tag: : Solved Example Problems - Electric Field due to Charged Circular
Electromagnetic Theory
EE3301 3rd Semester EEE Dept | 2021 Regulation | 3rd Semester EEE Dept 2021 Regulation