A random variable X is said to be continuous if it takes all possible values between certain limits say from real number 'a' to real number 'b'.
CONTINUOUS
RANDOM VARIABLES
(i) Definition: Continuous Random Variable
A
random variable X is said to be continuous if it takes all possible values
between certain limits say from real number 'a' to real number 'b'.
Example:
The length of time during which a vacuum tube installed in a circuit functions
is a continuous random variable.
Note:
If X is a continuous random variable for any x1 and x2 P(x1
≤ X ≤ x2) P(x1 <X ≤ x2) = P(x1 ≤
X < x2) = P(x1 < X < x2)
(ii) Probability density function :
For
a continous random variable X, a probability density function is a function
such that
(1)
f(x) ≥ 0
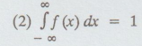
(2) 
(3)
P(a ≤ X ≤ b) =
f (x) dx = area under f (x) from a to b for any
a
and b.
Note:
A probability density function is zero for the values of X which do not occur
and it is assumed to be zero wherever it is not specifically defined.
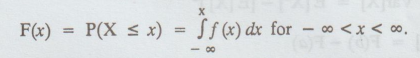
(iii) Cumulative distribution
function
The
cumulative distribution function of a continuous random variable X is

Note:
The probability density function of a continuous random variable can be
determined from the cumulative distribution function by differentiating.
[ fundamental theorem of calculus]
f(x)
= d/dxF[x] as long as the derivative exists.
(iv) The mean or expected value of a
continuous random variable X.
Suppose
X is a continuous random variable with probability density function f(x). The
mean or expected value of X, denoted as μ or E(X) is

A
useful identity is that for any function g,

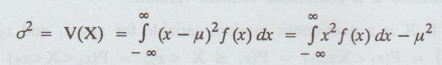
(v) The variance of a continuous random
variable X.
The
variance of X, denoted as V(X) or σ2, is

=
E[X2] - [E (X)]2
Note:
The standard deviation of X is σ = √Var (X).
(vi) FORMULA

6.Variance
= Var[X] = E [X2] - [E [X]]2
7.
P[a ≤ X ≤ b] = F(b) - F(a)
8.
P(a ≤ X ≤ b) = P(a ≤ X < b) = P[ a < X ≤ b]
=
P[a < X < b], X being a continuous random variable.
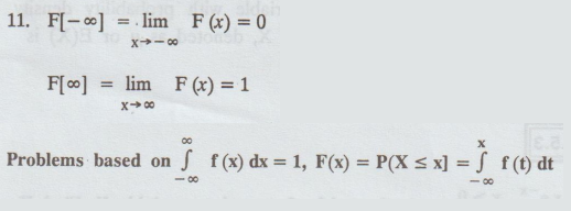
9.
0 ≤ F(x) ≤ 1
10.
F(x) is a non-decreasing function of X.
i.e.,
if x1 < x2 then F(x1) < F (x2)

Example 1.5.1
A continuous random variable X has
p.d.f. f (x) = k, 0 ≤ x ≤1. Determine the constant k. Find P(X ≤1/4].

Example 1.5.2
Given that the p.d.f of a R.V. X is f(x) = Kx, 0 < x < 1, find K and P(X > 0.5) [A.U. Dec, 96]

Example 1.5.3
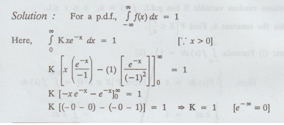
is the
p.d.f. of a random variable X. Find K. [A.U CBT M/J 2010]
Solution :

K
[-x e-x - e-x]o∞ = 1
K
[(- 0 - 0) - (0 - 1)] = 1 ⇒ K
= 1 [ e-∞ = 0 ]
Example 1.5.4
A continuous random variable X has
probability density function given by f(x) = 3x2, 0 ≤ x ≤ 1.
Find K such that P(X > K) = 0.5
[A.U. Model Q. Paper] [A.U N/D 2010]
Solution:
Given:
P(X > K) = 1 - P[X ≤ K] = 1 - 0.5 = 0.5

[Note:
P[ X ≤ K] = 1 − P [X > K] = 1 - 0.5 = 0.5 ]
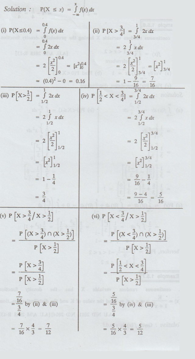
Example 1.5.5
Let X be a continuous R.V with
probability density function

Find (i) P (X ≤ 0.4] (ii) P [X >
3/4] (iii) P [X > ½ ] (iv) P [1/2 < X < 3/4] (v) P [X > ¾ / X >
1/2] (vi) P[X < ¾ / X > 1/2]
Solution :

Example 1.5.6
In a continuous random variable X having the probability density function

(b)
Find P(0 < X ≤ 1) (c) Find F(x) [cumulative distribution]
Solution:

Example 1.5.7
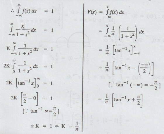
A continuous random variable X has
the density function f(x) = K / 1 + x2' ∞ < x < ∞. Find the
value of K and the distribution function.
[A.U N/D 2011, N/D 2014] [A.U A/M
2018 R-13]
Solution:
Given f (x) is a p.d.f

Example 1.5.8
The p.d.f. of a continuous R.V. X
is f(x) = Ke-x. Find K and the F[x].
[A.U. 2005] [A.U Trichy M/J 2011]
[A.U A/M 2010]
Solution :

Example 1.5.9
A continuous random variable X that
can assume any value between x = 2 and x = 5 has a density function given by
f(x) = k(1 + x). Find P [X < 4] [A.U M/J 2006, M/J 2007, N/D 2011, N/D 2012]
[A.U CBT N/D 2008, CBT Dec. 2009] [A.U A/M 2015, (RP) R13] [A.U A/M 2017 R8]
Solution :
(i) Formula:

Example 1.5.10
A continuous random variable X has
the distribution function

find K, probability density
function f(x), P[X<2] [A.U. A/M. 2008]
Solution:
We
know that,
P
[X ≤ x] = F[X]

Example 1.5.11
Is the function defined as follows, a density function ? [A.U N/D 2006]

Solution:
Condition for probability density function is

=
1/18 [28 – 10] = 1/18 (18) = 1
Hence,
the given function is density function.
Example 1.5.12
If the density function of a
continuous random variable X is given by

[A.U. N/D 2007, N/D 2008] [A.U A/M 2018 R-08]
(1) Find the value of a. [A.U A/M
2015 R-8, A.U A/M 2017 R13]
(2) Find the cumulative
distribution function of X.
(3) If X1, X2
and X3 are 3 independent observations of X, what is the probability
that exactly one of these 3 is greater than 1.5?
Solution: (1)
Since, f (x) is a p.d.f, then

Choosing
an X and observing its value can be considered as a trial and X 1.5 can be
considered as a success.
i.e.,
p = P[X > 1.5] = 1/2
p
= ½ , q = ½ [ 1 = 1 – p]
As
we choose 3 independent observation of X, n = 3.
By
Bernoulli's theorem. [ P(x) = n Cx Pxqn-x]
P(exactly
one value > 1.5)
=
P(1 success) = 3C1 (1/2)1 (1/2)3-1
=
3 (1/2) (1/2)2 = 3/8
Example 1.5.13
Experience has shown that while
walking in a certain park, the time X (in mins.), between seeing two people
smoking has a density function of the form
[A.U. N/D 2007]
(1) Calculate the value of λ.
(2) Find the distribution function
of X.
(3) What is the probability that Jeff, who has
just seen a person smoking, will see another person smoking in 2 to 5 minutes?
In atleast 7 minutes?
Solution:

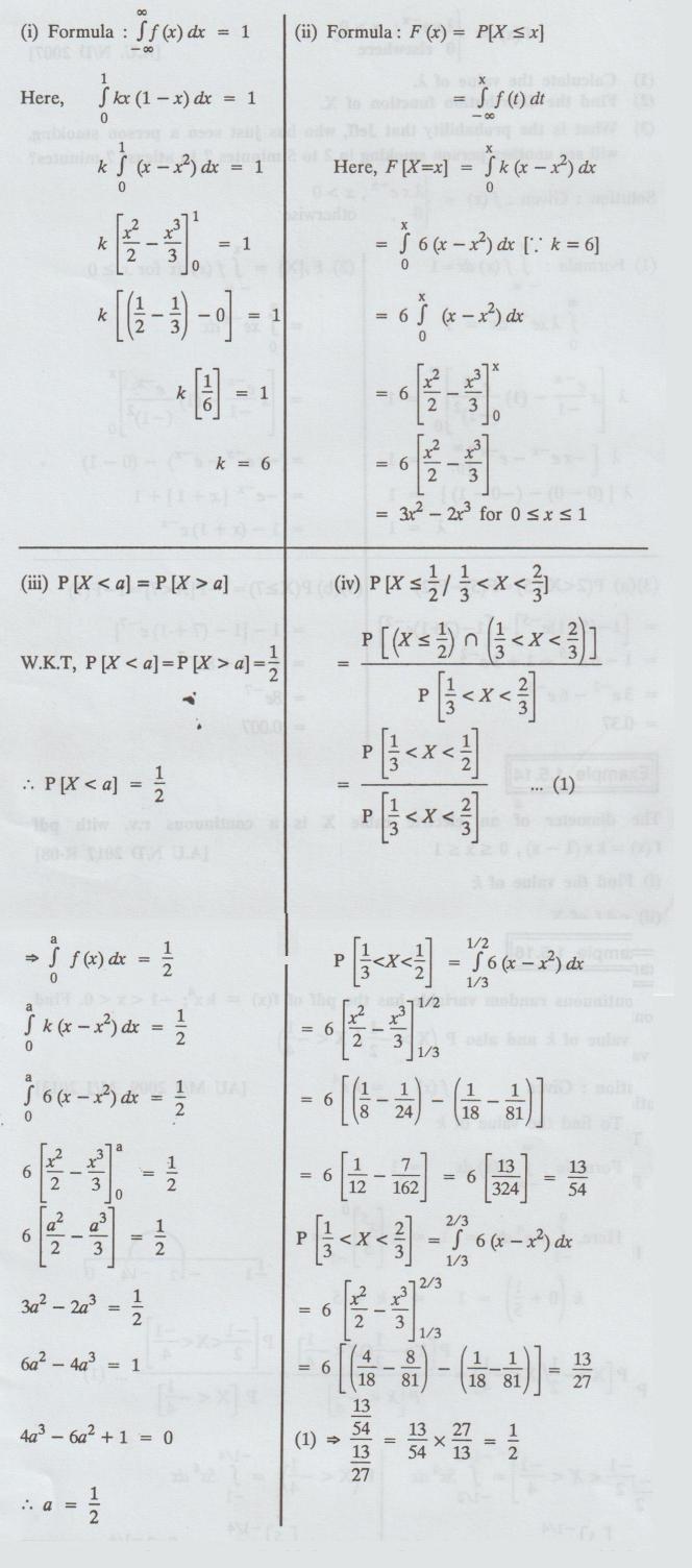
Example 1.5.14
The diameter of an electric cable X
is a continuous r.v. with pdf f(x) = kx (1-x), 0 ≤ x ≤1 [A.U N/D 2017 R-08]
(i) Find the value of k
(ii) c.d.f of X
(iii) the value of a such that P (X < a) =
P(X > a)
(iv) P (X ≤ 1/2 / 1/3 < X <
2/3 ]
Solution :

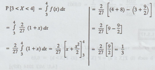
Example 1.5.15
A continuous random variable X that
can assume values between x = 2 and x = 5 has dF = [2 (1 + x)/27] dx, find P (3
< X < 4)
Solution: We
know that, f (x) = dF/ dx = 2 (1 + x ) 27/27 ,
2 ≤ x ≤ 5

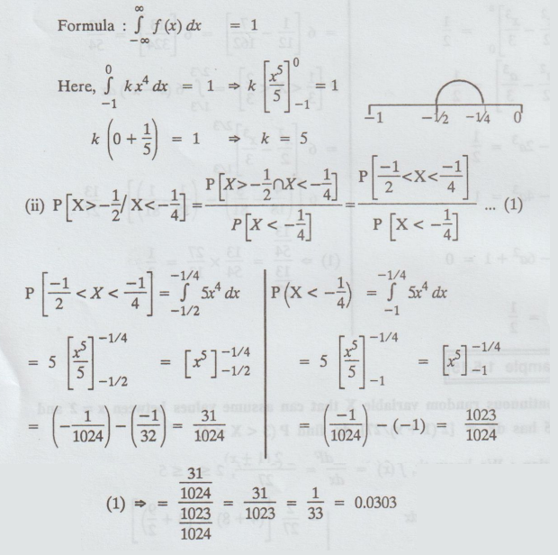
Example 1.5.16
A continuous random variable has
the pdf of f(x) = kx4; -1 < x <0. Find the value of k and also
P (x > -1/2 / X < -1/4) [AU M/J 2009, M/J 2013]
Solution:
Given: f(x) = kx4
(i) To find the value of k

(1)
⇒ = 31/1024 / 1023/1024 = 31/1023 = 1/33 =
0.0303
Example 1.5.17
A continuous random variable X has
p.d.f f(x) = 3x2, 0 ≤ x ≤1. Find a and b such (i) P[X ≤ a] = P
[X> a] (ii) P[X>b] = 0.05 [A.U M/J 2014 (RP)]
Solution :

Problems based on f (x) = d/dx F
[x], mean, variance
Example 1.5.18
The cumulative distribution
function (cdf) of a random variable X is F(x) = 1- (1+ x)e-x,
x>0. Find the probability density function of X, Mean and variance of X. [AU
M/J 2006, AU N/D 2010] [A.U A/M 2015 R8] [A.U A/M 2019 (R17) PS]
Solution: Given:
F(x) = 1- (1+x)e-x, x > 0
=
1-e-x- xe-x , x>0
p.d.f,
f(x) = d/dx [F(x)] = d/dx [1-e-x-xe-x]
=
0+ e-x - [x (-e-x) + e-x (1)]
=
e-x + xe-x –e-x
=
xe-x, x>0

=
( 0 – 0 + 0 – 0 ) – ( 0 - 0 + 0 – 6 )
=
6
Var(X)
= E(X2) - [E (X)]2 = 6 - (2)2 = 6 - 4 = 2
Example 1.5.19
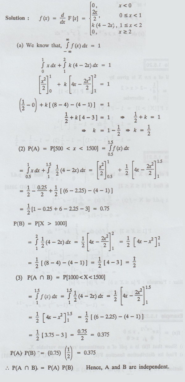
The sales of a convenience store on
a randomly selected day are X thousand dollars, where X is a random variable
with a distribution function of the following form :

[A.U. N/D 2007]
Suppose that this convenience
store's total sales on any given day are less than $ 2000.
(1) Find the value of k.
(2) Let A and B be the events that
tomorrow the store's total sales are between 500 and 1500 dollars, and over
1000 dollars, respectively. Find P(A) and P(B).
(3) Are A and B independent events?
Solution :

P(A
∩ B) = P(A) P(B) Hence, A and B are independent.
Example 1.5.20
If the pdf of a r.v X is given by

Example 1.5.21
If the cdf of a r.v X is given by
F(x) =
of X, also find P [1 ≤ X ≤ 2] [A.U N/D 2010]
Solution :
p.d.f of X = ƒ (x) = d/dx F(x) = d/dx [1 – e-λx]

Example 1.5.22

(a) Show that f(x) is a pdf of a continuous
random variable X.
(b) Find its distribution function
F(x) [A.U CBT A/M 2011]
Solution :

Probability and complex function: Unit I: Probability and random variables : Tag: : Formula, Solved Example Problems - (ii) Continuous random variables
Probability and complex function
MA3303 3rd Semester EEE Dept | 2021 Regulation | 3rd Semester EEE Dept 2021 Regulation