Probability and complex function: Unit III: Analytic functions : Problems based on bilinear transformation
PROBLEMS BASED ON BILINEAR TRANSFORMATION
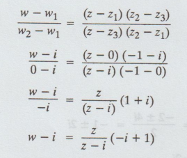
Example 3.5.11 Find the
bilinear transformation that maps the points z = 0, -1, i into the points w = i,
0, ∞ respectively. [A.U. A/M 2015 R-13,
A.U N/D 2013, N/D 2014]
Solution :
Given:
z1 = 0, z2=-1, z3 = i
w1
= i, w2 = 0, w3 = ∞
Let
the required transformation be

w
– i = z/z – i (-i + 1)
w
= z/z – i (-i + 1) + i = -iz + z + iz + 1 / (z – i) = z + 1/z - i
Aliter:
Given: z1 = 0, z2 = -1, z3 = i
w1
= i, w2 = 0, w3 = ∞
Let
the required transformation be

w
= az + a/az + a/i = z + 1/z + 1/i = z + i /z - i
Example 3.5.12. Find
the bilinear transformation that maps the points ∞, i, 0 onto 0, i, ∞
respectively. [Anna, May 1997] [A.U N/D 2012][A.U A/M 2017 R-08]
Solution: Given:
z1 = ∞, z2 = i, z3=0 & w1 = 0,
w2 = i, w3 = ∞
Let
the required transformation be

Example 3.5.13. Find the
bilinear transformation which maps the points 1, i, -1 onto the points 0, 1, ∞,
show that the transformation maps the interior of the unit circle of the
z-plane onto the upper half of the w plane. [A.U. May 2001] [A.U M/J 2014] [A.U
D15/J16 R-13]
Solution:
Given: z1 = 1, z2 = i, z3 = -1
w1
= 0, w2 =1, w3 = ∞
Let
the transformation be

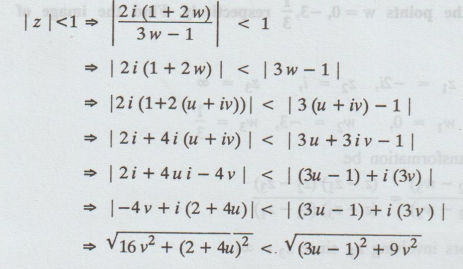
Example 3.5.14. Find
the bilinear transformation which maps the points z = -2i, i, ∞ onto the points
w = 0, -3,1/3 respectively. Find the image of | z❘ < 1.
Solution: Given:
z1 = -2i, z2 = i, z3 = ∞
w1
= 0, w2= -3 , w3 = 1/3
Let
the required transformation be

10
w/(3w-1) = z + 2i/ i
10
wi = 3 wz + 6wi – z - 2i
10wi
- 6wi = 3wz-z-2i
4wi-3wz
= -z - 2i
w[4i
- 3z] = -[z + 2i]
w
= - [z + 2i]/[4i-3z] = z + 2i/3z – 4i
w
= (1) z + 2 i/3z + (-4 i) [ w = az + b/cz + d, ad – bc ≠ 0 Form]
To find z
3wz
- 4wi = z + 2i
3wz
- z = 4wi + 2i
z
(3w - 1) = 2i (1 + 2w)
z
= 2i (1+2w)/3w – 1
To
find the image of | z | < 1
|
z | < 1⇒

16
v2 + 4 + 16 u2 + 16u < 9 u2 + 1 − 6u + 9v2
⇒ 7 u2 + 7 v2
+ 22 u + 3 < 0
⇒ u2 + v2
+ 22/7 u + 3/7 < 0
The
image of | z |< 1 is the interior of the circle.
(u2 + v2 + 22/7 u + 3/7
= 0) in the w-plane.
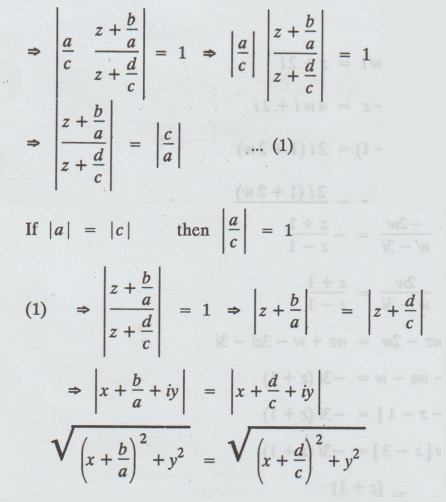
Example 3.5.15. Show that
the condition for the transformation w = az + b/cz + d to transform the unit
circle in the w plane is a straight line in the z plane if |a| = |c|.
Solution:
The transformation w = az + b / cz + d w = a(z + b/a) / c(z + d/c)
Given:
|w| = 1 (unit circle in w-plane)

squaring
we get
(x
+ b/a)2 + y2 = (x + d/c)2 + y2
(x
+ b/a)2 = (x + d/c)2
2x
b/a + b2/a2 = 2x d/c – d2/c2 = 0
x
[ 2b/a – 2d/c ] + [ b2/a2 – d2/c2 ]
= 0
which
represents a straight line in z-plane
Example 3.5.16.
Determine the billinear transformation that maps the points -1,0,1, in the z
plane onto the points 0,i,3i in the w plane. [ Anna, May 1999 ]
Solution :
Given
: z1 = -1, z2 = 0, z3 = 1
w1
= 0 , w2 = i, w3 = 3i
Let
the required transformation be

2wz
- 2w = wz + w - 3zi - 3i
2wz
- 2w - wz - w = -3i (z + 1)
w[2z
– 2 – z -1] = -3i (z + 1)
w[z
- 3]= -3i (z + 1)
w
= -3i (z + 1)/(z - 3) [ w = az + b/cz + d,ad - bc #0 Form]
Note:
Either image or object or both are infinity should not apply the following
Aliter method.
Aliter :
Given:
z1 = -1, z2 = 0, z3 = 1
w1
= 0 , w2 = i, w3 = 3i
Let
the required transformation be

a = Aw1 – Bw3 = 0 + 3i = 3i
b
= Bw3z1 - A w1z3 = (-1) (3i) (-1) -
0 = 3i
c = A – B = (-2) – (-1) = -1
d
= Bz1 - Az3 = (-1)(-1) – (-2)(1) = 3
We
know that, w = az + b/cz + d, ad - bc #0
w
= (3i)z + (3i)/ (-1)z + 3
Example 3.5.17. Find
the bilinear transformation which maps z = 1, i, -1 respectively onto w = 1, 0,
-i. [A.U, May 2001] [A.U Tvli N/D 2009] [A.U N/D 2014 R13, A/M 2015 R8] [A.U
April 2016 R-15 U.D][A.U A/M 2019 R-17]
Solution :
Given:
z1 = 1, z2 = i, z3 = -1
w1
= i , w2 = 0, w3 = -i
Let
the required transformation be

a = Aw1 – Bw3 = (-1)(i) – (-i)(-i) = -i + 1
b
= Bw3z1 - A w1z3 = (-i)(-i)(1) –
(-1)(i)(-1) = - 1- i
c = A – B = (-1) – (-i) = -1 + i
d
= Bz1 - Az3 = (-1)(1) – (- 1)(- 1) = -i - 1
We know that, w = az + b/cz + d, ad - bc ≠ 0

Example 3.5.18. Find
the bilinear transformation which maps z = 0 onto w = -i and has -1 and 1 as
the invariant points. Also show that under this transformation the upper half
of the z plane maps onto the interior of the unit circle dos te w plane. [A.U
A/M 2017 R-13]
Solution:
Given: z1 = 0, z2 = -1, z3 = 1
w1
= -i , w2 = -1, w3 = 1
Let
the required transformation be

a = Aw1 – Bw3 = (1 + i)(-i) – (2)(1) = -i + 1 – 2 = - i - 1
b
= Bw3z1 - A w1z3 = (2)(1)(0) – (1 +
i ) (- i)(1) = - i - 1
c = A – B = (1+ i ) – 2 = i - 1
d
= Bz1 - Az3 = (2)(0) – (1 + i )(1) = - (i + 1)
We know that, w = az + b/cz + d, ad - bc ≠ 0

Upper
half of the z-plane
⇒ y ≥ 0 ⇒ 1 -u2 - v2
/(1 - v)2 + u2 ≥ 0
⇒ 1- u2 - v2
≥ 0 ⇒ 1 ≥ u2 + v2 ⇒
u2 + v2 ≤ 1
Therefore
the upper half of the z-plane maps onto the interior of the unit circles in the
w-plane.
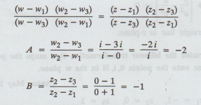
Example 3.5.19. Find
the Bilinear transformation that maps the points 1+i, -i, 2 - i of the z-plane
into the points 0, 1, i of aid the w-plane. [A.U. M/J 2007, N/D 2007]
Solution:
Given: z1 = 1 + i , z2 = -i, z3 = 2 - i
w1
= 0 , w2 = 1, w3 = i
Let
the required transformation be

= 2 – i – 4i – 2/ - 4 – 1 = -5i/-5 = i
Example 3.5.20 the bilinear transformation which maps the
points points w = -1, -i, 1. Show that under this transformation the z-plane
maps on to the interior of the unit circle | w | = 1 [A.U A/M 2018, R-17]
Solution:
Given: z1 = -1 , z2 = 0, z3 = 1
w1
= -1 , w2 = -i, w3 = 1
Let
the required transformation be

The
upper half of the z-plane maps on the interior of the circle | w | = 1
Probability and complex function: Unit III: Analytic functions : Tag: : Analytic functions - Problems based on bilinear transformation
Probability and complex function
MA3303 3rd Semester EEE Dept | 2021 Regulation | 3rd Semester EEE Dept 2021 Regulation