Thus when Ra is negligible, θ = 90o for maximum power developed. The corresponding torque is called pull out torque.
Alternative Expression for Power Developed by a Synchronous
Motor
Consider
the phasor diagram of a synchronous motor running on leading power factor cos
as shown in the Fig. 4.14.1.

The
line CD is drawn at an angle θ to AB.
The
lines AC and DE are perpendicular to CD and AE.
OB
= ERph - IaZs and ∠ OBD = ψ
and
angle between AB = Ebph and Iaph is also ψ
The
mechanical per phase power developed is given by,
Pm
= Ebph Iaph cos (Ebph ^ Iaph)
=
Ebph Iaph cos (ψ) … (4.14.1)
In
triangle OBD,
BD
= OB cos ψ = IaZs
cos IaZs
OD
= OB sin v = Ia Zs sin ψ
Now BD = CD - BC = AE - BC
AE
= OA cos (θ - δ ) = Vph cos (θ - δ ) … (4.14.2),
Substituting
in equation (4.14.2),
IaZs
cos ψ = Vph cos (θ - δ ) - Eb cos θ
Ia
cos ψ = Vph / ZS cos (θ - δ ) - Eb / ZS cos θ … (4.14.3)
All
values are per phase values
Substituting
equation (4.14.3) in equation (4.14.1),

This
is the expression for the mechanical power developed angle interms of the load
angle δ and the internal machine angle θ, for constant voltage Vph and
constant Eb i.e. excitation.

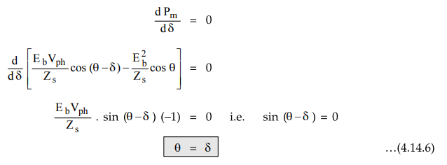
The
value of δ for which the mechanical power developed is maximum can be obtained
as,

Key Point Thus when Ra is
negligible, θ = 90o for maximum power developed. The corresponding
torque is called pull out torque.
a. The Value of Maximum Power Developed
The
value of maximum power developed can be obtained by substituting the equation
of Pm

Substituting
cos θ = Ra/Zs, in equation (4.14.8) we get,

Solving
the above quadratic in Eb we get,

As
E is completely dependent on excitation, the equation (4.14.10) gives the
excitation limits for any load for a synchronous motor. If the excitation
exceeds this limit, the motor falls out of step.
The
torque is given by P/ hence the maximum torque developed by a synchronous motor
is,

b.
Condition for Excitation When Motor Develops (Pm) max
Let
us find excitation condition for maximum power developed. The excitation
controls Eb. Hence the condition of excitation can be obtained as,

This
is the required condition of excitation.
Key Point Note that
this is not maximum value of Eb but this is the value of Eb for
which power developed is maximum.
The
corresponding value of maximum power is,

Example
4.14.1 The excitation of 415 V, 3 phase, mesh connected
synchronous motor is such that the induced e.mf. is 520 V. The impedance per
phase is 0.5 + j 4 Ω. If the friction and iron losses are constant and equal to
1000 watts, calculate HP output, line current, power factor and the efficiency
for maximum power output.
Solution
:
The given values are,

Example
4.14.2 A 2500 V, 3 phase, star-connected motor has a
synchronous reactance of 5 Ω per phase. The motor input is 1000 kW at rated
voltage and an excitation e.mf. of 3600 V (line). Calculate the line current
and power factor.
Solution
:

Example
4.14.3 A 3000 V, 3 phase synchronous motor running at
1500 r.p.m. has its excitation kept constant coresponding to no-load terminal
voltage of 3000 V. Determine the power input, power factor and torque developed
for an armature current of 250 A if the synchronous reactance is 5 Q per phase
and armature resistance is neglected. AU : May.-06, Marks 9
Solution
:

Example
4.14.4 A 4 pole, 400 V, 50 Hz, 3 phase star connected
synchronous motor has a synchronous reactance of 2 Ω per phase. The resistance
of the stator winding is negligible. The field excitation is so adjusted that
the e.m.f. induced is equal to the supply voltage. In application of a certain
load the rotor is retarded by 4 mechanical degrees. Find the armature current
drawn by the motor.
Solution
:

Example
4.14.5 A 400 V, 6 pole, 3 phase, 50 Hz, star connected
synchronous motor has stator resistance and synchronous reactance of 0.2 ohm
and 3.0 ohm per phase respectively. It takes 20 Amps at u.p.f. when operating
with a certain field current. If the load torque is increased until the current
is 60 A, the field current remaining the same, find the gross torque developed
and the power factor.
Solution
:
The given values are,

Example
4.14.6 A 500 hp, 720 rpm synchronous motor connected to a
3980 V, 3 phase line generates an excitation voltage Eb of 1790 V
(line to neutral) when the dc exciting current is 25 A. The synchronous
reactance is 22 Ω and the torque angle between Eb and E is 30°, calculate.
1)
The value ofEx.
2)
The ac line current.
3)
The power factor of the motor.
4)
The approximate horsepower developed by the motor.
5)
The approximate torque developed at the shaft.
AU : May-17, Marks 8
Solution
:

Example
4.14.7 A 3 phase, 3300 V, star connected synchronous
motor has an effective resistance and synchronous reactance of 2.0 Ω and 18.0 Ω
per phase respectively. If the open circuit generated e.m.f. is 3800 V between
lines, calculate,
i)
The maximum total mechanical power that the motor can develop and
ii)
The current and power factor at the maximum mechanical power.
Solution
:

Consider
the phasor diagram shown in the Fig. 4.14.7.
As
Eb > V, Ia leads V. Applying cosine rule to triangle
OAB we can write,

Example
4.14.8 A 6600 V, star-connected, three phase
synchronous motor works at constant voltage and constant excitation. Its
synchronous impedance is ((2.0 + j20.0) 2/phase.) When the input is 1000 kW,
the power factor is 0.8 leading. Find the power factor when the input is
increased to 1500 kW.
Solution
:
VL
= 6600 V, ZS = 2 + j 20 Ω, P1 = 1000 kW, P2 = 1500
kW

As
excitation is constant, Ebph remains constant though P1 increases to
P2 = 1500 kW. Let new armature current be Ia2ph and p.f.
as cos ϕ2.

Example
4.14.9 A 1000 kW, 3 phase star connected 3.3 kV, 24
pole, 50 Hz synchronous motor has a synchronous reactance of 3.24 Ω. per phase
and resistance is negligible. The motor is fed from infinite busbars. Its field
excitation is adjusted to result in UPF at read load. Compute the maximum power
and torque that the motor can deliver with its excitation remaining constant at
this value.
Solution
:

Example
4.14.10 A 1000 kVA, 11000 V, 3 phase, star connected
synchronous motor has armature resistance and reactance of 3.5 Ω and 40
Ω
per phase respectively. Determine induced e.m.f. and angular retardation of the
rotor when fully loaded at i) Unity ii) 0.8 p.f. lagging iii) 0.8. p.f.
leading. AU
: Dec.-15, May-17, Marks
Solution
:

Example
4.14.11 A 6 pole, 3 phase, star connected synchronous
motor has synchronous impedance of (0.5 + j 8.0) Ω per phase. When operating on
2.2 kV, 50 Hz bus bars, its field current is such that the induced e.m.f. is
1.8 kV. Calculate the maximum torque that can be developed at this excitation
condition AU : May-13, Marks 8
Solution
:

Example
4.14.12 The synchronous reactance per phase of a
3-phase, star connected 6600 V synchronous motor is 20 Ω. For a certain load
the input is 900 kW at normal voltage and the induced line e.m.f. is 8500 V.
Determine the line current and power factor.
AU : Dec-13, Marks 16
Solution
:
Refer
Ex. 4.14.2 for the procedure and verify the answer as : Ia = 89.1731
A, cos ϕ = 0.8828 leading.
ppppppppppppppppppppppppppp
Example
4.14.13 A 75 kW, three-phase Y - connected 50 Hz, 440 V,
cylindrical rotor synchronous motor operates at rated condition with 0.8 pf
leading. The motor efficiency excluding field and stator losses is 95 % and X3
= 2.5 2. Calculate :
i)
Mechanical power developed
ii)
Armature current
iii)
Back emf
iv)
Power angle
v)
Maximum or pull out torque of the motor.
AU
: May-18, Marks 13
Solution
:

Examples
for Practice
Example
4.14.14 A 15 kW, 400 V, 50 Hz, 3 phase star connected
synchronous motor with impedance of (1 + j 5.0) Ω /phase is working at rated
voltage and rated frequency. Find the load angle, armature current and power
factor when the excitation is adjusted to 480 V.
[Ans.:
8 =24.9°, 23.2284 A, 0.932 leading]
Example
4.14.15 A 400 V, 50 Hz, 6-pole, three phase, start
connected synchronous motors has Xs = 4 ohm/ph and Ra =
0.5 ohm/ph. On full load the excitation is adjusted so that the machines takes
an armature current of 60 A at 0.866 pf. leading. Find the maximum power output
if the total power losses are 2 kW and excitation same.
[Ans.:
Net maximum output = 51.3827 kW]
Example
4.14.16 A 400 V, 7.5 hp, 3 ph, synchronous motor
has negligible armature resistance and a synchronous reactance of 10 Ω /ph.
Determine the minimum current and the corresponding e.m.f. for full load
condition. Assume a motor efficiency of 85%.
[Ans.:
9.367 A, 249.2135 V]
Example
4.14.17 A 20 MVA, 11 kV, 3-phase, delta-connected
synchronous motor has a synchronous impedance of 15 ohm/phase. Windage,
friction and iron losses amount to 1200 kW.
i)
Find the value of unity power factor current drawn by the motor at a shaft load
of 15 MW. What is the excitation emf under this condition ?
ii)
If the excitation emf is adjusted to 15.5 kV (line) and the shaft load is
adjusted so that the motor draws unity power factor current find the net motor
output.
[Ans.:
i) 850.28 A, 13.23 kV, ii) 22.824 MW]
Review Questions
1. Derive an expression for power delivered by a synchronous
motor in terms of a load angle AU : May-09, 13, 17, Dec.-15, Marks 8
2. Write a note on the effect of torque angle on power developed
by a synchronous motor. AU : Dec.-09, Marks 8
3. Derive an expression for the maximum torque developed per
phase of a synchronous motor. AU : May-12, Marks 8
4. Derive the condition for maximum power and the value of
maximum power for synchronous motor. AU : May-13, Marks 6
Electrical Machines II: UNIT II: Synchronous Motor : Tag: Engineering Electrical Machines - II : - Alternative Expression for Power Developed by a Synchronous Motor
Electrical Machines II
EE3405 Machine 2 EM 2 4th Semester EEE Dept | 2021 Regulation | 4th Semester EEE Dept 2021 Regulation