• The two point charges of equal magnitude but opposite sign, seperated by a very small distance give rise to an electric dipole. The field produced by such a dipole plays an important role in the engineering electromagnetics.
An Electric Dipole
•
The two point charges of equal magnitude but opposite sign, seperated by a very
small distance give rise to an electric dipole. The field produced by such a
dipole plays an important role in the engineering electromagnetics.

• Consider an electric dipole as shown in the
Fig. 4.14.1. The two point charges + Q and - Q are separated by a very small
distance d.
•
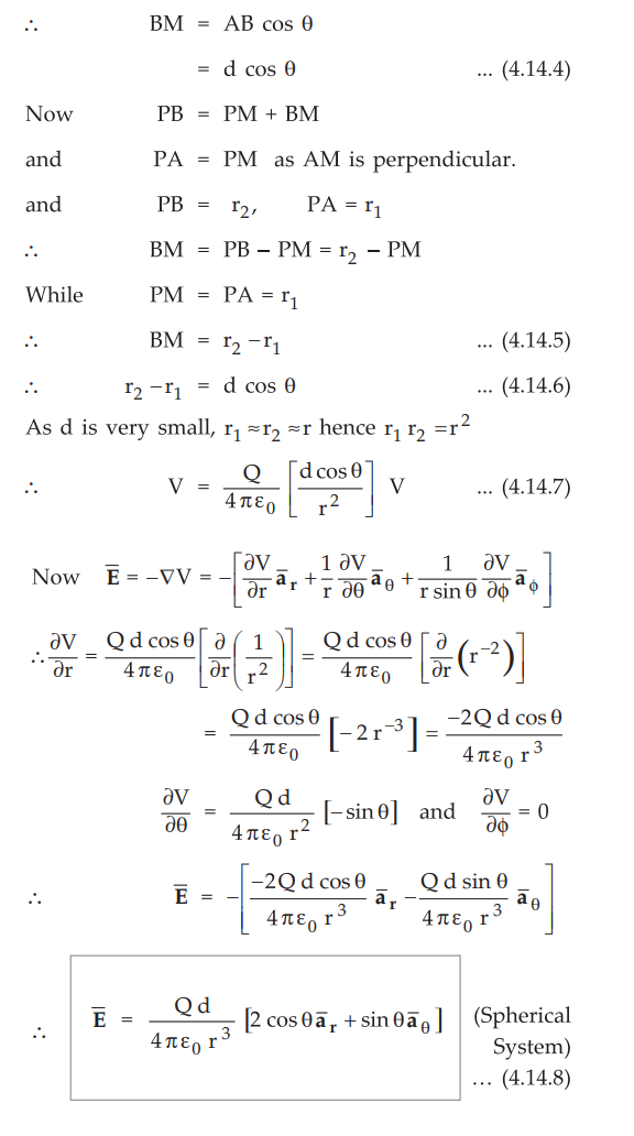
Consider a point P (r, θ, ϕ) in spherical coordinate system. It is required to
find
due to an electric dipole at point P. Let O be the midpoint of
AB. The distance of point P from A is r1 while the distance of point
P from B is r2. The distance of point P from point O is r. The
distance of separation of charges i.e. d is very small compared to the
distances r1,r2 and r. The coordinates of A are (0,0, +
d/2) and that of B are (0,0, - d/2).
•
To find
, we will find out the potential V at point P, due to an
electric dipole. Then using
, we can find
due to an
electric dipole.
In
spherical coordinates, the potential at point P due to the charge + Q is given
by,
V1
= +Q / 4πƐ0r1 … (4.14.1)
•
The potential at P due to the charge - Q is given by,
V2
= -Q / 4πƐ0r2 … (4.14.2)
•
The total potential at point P is the algebraic sum of V1 and V2.

•
If now point P is located in z = 0 plane as shown in the Fig. 4.14.2, then r2
= r1 . Hence we get V = 0. Thus the entire z = 0 plane i.e. xy plane
is a zero potential surface.
•
All points in z = 0 plane behave similar to the points at infinity as all are
at zero potential.
•
Now consider that P is located far away from the electric dipole. Thus r1,
r2 and r can be assumed to be parallel to each other as shown in the
Fig. 4.14.3.

•
AM is drawn perpendicular from A on r2. The angle made by r1,
r2 and r with z axis is θ as all are parallel.

This
is electric field
at point P due to an electric dipole.
Let
the vector length directed from - Q to + Q i.e. from B to A is ![]()

Its
component along
direction can be obtained as,

Then
the product Q
is called dipole moment and denoted as ![]()

The
dipole moment is measured in Cm
(coulomb-metre).

...
from (4.14.10)
Hence
the expression of potential V can be expressed as,

Note
that,
•
= Unit vector in the direction of distance vector joining the point
at which moment exists and point at which V is to be obtained.

•
It can be noted that the dipole moment and potential will remain same though Q
increases and d decreases or viceversa, as long as the product of Q and d
remains constant.
•
Now if
due to a dipole can be expressed interms of
magnitude of dipole moment as,

Observe
that,
1.
The potential is inversely proportional to the square of the distance from
dipole.
2.
The electric field is inversely proportional to the cube of the distance from
dipole.
•
A single point charge is called monopole in which 
•
The arrangement of two point charges is called dipole in which 
•
Similarly symmetrical arrangements of larger
number
of point charges produce potentials and fields which are inversely proportional
to the higher powers of r, such as r3,r4... etc. Such arrangements are called
multipoles. The symmetrical arrangement consisting of two dipoles as shown in
the Fig. 4.14.4 is called quadrupole. The symmetric arrangement consisting of
two quadrupoles is called octupole and so on.

Ex.
4.14.1 A dipole having moment
is located at Q(l,2,-4) in free
space. Find V at P(2,3,4).
Sol.
:
The potential V in terms of dipole moment is,

Ex.
4.14.2 Two point charges, 1.5 nC at (0, 0, 0.1) and - 1.5 nC at (0, 0, - 0.1),
are in free space. Treat the two charges as a dipole at the origin and find
potential at P(0.3, 0, 0.4).
Sol
. :
The
dipole is shown in the Fig. 4.14.5.

Examples
for Practice
Ex.
4.14.3 What is the electric field at (x = 0, y
= 0, z = 5) m due to a pure dipole
at the origin ?

Ex.
4.14.4 Point charges of + 3 µC and - 3 µC are
located at (0, 0, 1) mm and (0, 0, -1) mm respectively in free space.
i)
Find dipole moment
?
ii)
Find
in spherical components at
P
(r = 2, θ = 40°, ϕ = 50°) ?

Ex.
4.14.5 An electric dipole located at the
origin in the free space has a moment

i)
Find V at (2, 3, 4) ii) Find V at r = 2.5,
θ
= 30°, ϕ = 40°
[Ans.:
i) 0.2302 V, ii) 1.9734 V]
Review Question
1. Explain electric dipole. Derive the expression for the
electric field intensity and potential due to an electric dipole at any point
P.
AU : May-17, Marks 8
Electromagnetic Theory: Unit II: (a) Electric Work Potential and Energy : Tag: : - An Electric Dipole
Electromagnetic Theory
EE3301 3rd Semester EEE Dept | 2021 Regulation | 3rd Semester EEE Dept 2021 Regulation