• The simple and effective way to obtain voltage gain stabilization is to add an emitter resistance RE to a CE stage as shown in Fig. 6.8.1.
Analysis of CE Amplifier with an Emitter Resistance
•
The simple and effective way to obtain voltage gain stabilization is to add an
emitter resistance RE to a CE stage as shown in Fig. 6.8.1.

•
Fig. 6.8.2 shows an ac equivalent circuit for common emitter circuit with
unbypassed emitter resistance as shown in Fig. 6.8.1.
•
It is drawn by replacing coupling capacitors and d.c. sources by short
circuits.

Ex.
6.8.1 Derive the expression for CE amplifier with bypassed Ry using approximate
analysis.
An
approximate analysis of the common emitter circuit with Rg can be made using
approximate h-parameter equivalent circuit shown in Fig. 6.8.3.

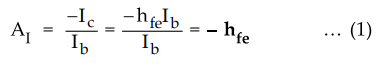
Current gain (AI):

Input resistance (R1):

Important
Concept
The
input resistance due to factor (1+hfe) RE may be very
much larger than hy Hence an emitter resistance greatly increases the input
resistance.
Voltage
gain (AV):

Output
resistance (RO): It is the resistance of
an amplifier without considering thesource and load (i.e. Va = 0 and
RL = ∞). It is defined as a ratio of output voltage Vo to
output current with Vs = 0.
Ro
= Vo / Io |Vs = 0
When
Vs = 0, the current through the input loop Ib = 0, hence
Ic and Io both are zero. Therefore, Ro = ∞.
The output resistance R of the stage, taking the load into account is given as
Ro
= Ro ||RL = ∞ || RL = RL … (4)
Ex.
6.8.2 Fig. 6.8.4 shows a single stage CE amplifier with unbypassed emitter
resistance find current gain, input resistance, voltage gain and output
resistance. Use typical values of h-parameter.

Sol.:
Typical values for h-parameters are hfe - 50, hfe = 1.1
K, hoe = 25 μA/V, hre = 2.5 × 10-4. Since hoe
RL = 25 × 10-6 (1.1 K || 3.3 K) = 0.02, which is
less than 0.1, we use approximate analysis.

Electron Devices and Circuits: Unit III: (a) BJT Amplifiers : Tag: : Solved Example Problems | BJT Amplifiers - Analysis of CE Amplifier with an Emitter Resistance
Electron Devices and Circuits
EC3301 3rd Semester EEE Dept | 2021 Regulation | 3rd Semester EEE Dept 2021 Regulation