• Consider an infinitely long straight conductor placed along z-axis, carrying a direct current I as shown in the Fig. 7.9.1.
Applications of Ampere's Circuital Law
AU
: Dec.-02, 06, 07, 14, 16, 18, May-04, 13, 14, 16, 19
•
Let us study the various cases and the application of Ampere's circuital law to
obtain
.
1.
due to Infinitely Long Straight Conductor
•
Consider an infinitely long straight conductor placed along z-axis, carrying a
direct current I as shown in the Fig. 7.9.1. Consider the Amperian closed path,
enclosing the conductor as shown in the Fig. 7.9.1. Consider point P on the
closed path at which
is to be obtained. The radius of the path is
r and hence P is at a perpendicular distance r from the conductor.

•
The magnitude of
depends on r and the direction is always
tangential to the closed path i.e.
. So
has only component
in
direction say Hϕ
•
Consider elementary length
at point P and in cylindrical
co-ordinates it is
direction.

2.
due to a Co-axial Cable
•
Consider a co-axial cable as shown in the Fig. 7.9.2. Its inner conductor is
solid with radius a, carrying direct current I. The outer conductor is in the
form of concentric cylinder whose inner radius is b and outer radius is c. This
cable is placed along z axis. The current I is uniformly distributed in the
inner conductor. While - I is uniformly distributed in the outer conductor.

•
The space between inner and outer conductor is filled with dielectric say air.
The calculation of
is divided corresponding to various regions
of the cable.
Region
1 :
Within the inner conductor, r < a. Consider a closed path having radius r
< a. Hence it encloses only part of the conductor as shown in the Fig.
7.9.3.

•
The area of cross-section enclosed is πr2 m2.
•
The total current flowing is I through the area πa2. Hence the
current enclosed by the closed path is,

•
The
is again only in
direction and depends only on r.

Region
2 :
Within a < r < b consider a circular path which encloses the inner
conductor carrying direct current I. This is the case of infinitely long
conductor along z-axis. Hence
in this region is,

Region
3 :
Within outer conductor, b < r < c
•
Consider the closed path as shown in the Fig. 7.9.4.

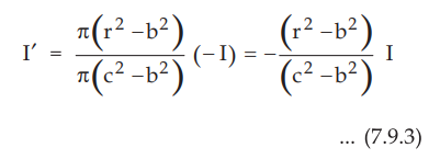
The current enclosed by the closed path is only the part of the current - I, in the outer conductor. The total current - I is flowing through the cross section π (c2 -b2) while the closed path encloses the cross section π (r2 - b2).
•
Hence the current enclosed by the closed path of outer conductor is,

Key
Point : Note that the closed path also encloses the inner
conductor hence the current I flowing though it.
I''
= I = Current in inner conductor enclosed ...
(7.9.4)
Total
current enclosed by the closed path is,

According
to Ampere's circuital law,

Region
4 :
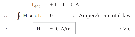
Outside the cable, r > c.
•
Consider the closed path with r > c such that it encloses both the
conductors i.e. both currents + I and - I.

•
Thus the total current enclosed is,

•
The magnetic field does not exist outside the cable. The variation of
against r is shown in the Fig. 7.9.5.
1.
due to Infinite Sheet of Current
•
Consider an infinite sheet of current in the z = 0 plane. The surface current
density is
. The current is flowing in positive y direction hence
.
This is shown in the Fig. 7.9.6.

• Consider a closed path 1-2-3-4 as shown in
the Fig. 7.9.6. The width of the path is b while the height is a. It is
perpendicular to the direction of current hence in xz plane.
•
The current flowing across the distance b is given by Kyb.
Ienc
= Kyb
•
Consider the magnetic lines of force due to the current in
direction, according to right hand thumb rule. These are shown in the Fig.
7.9.7.
•
In Fig. 7.9.7 (b), it is clear that in between two very closely spaced
conductors, the components of
in z direction are oppositely
directed (- Hz for position 1 and + Hz for position 2 between the two positions).
All such components cancel each other and hence
can not have any
component in z direction.
Evaluate
the integral along the path 1-2-3-4-1.

•
The path 2-3 is lying in z < 0 region for which
is
And limits
from 2 to 3, positive x to negative x hence effective sign of the integral is
positive.


Ex.
7.9.1 Obtain the expression for
in all the regions if a cylindrical
conductor carries a direct current I and its radius is 'R' m. Plot the
variation of
against the distance r from the centre of the conductor.
AU
: Dec.-14, 16, Marks 10
Sol.
:
Let the cylindrical conductor of radius R, carries a uniform direct current of
I A. It is placed along z axis and has infinite length.
is to be obtained
considering two regions.
Region
1 :
Within the conductor, r < R.
Consider
the closed path of radius r within the conductor as shown in the Fig. 7.9.8.

As
current I flows uniformly, it flows across the cross-sectional area of πR2
While
the closed path encloses only part of the current which passes across the
cross-sectional area of πr2
Hence
current enclosed by the path,

Region
2 :
Outside the conductor, r > R.
The
conductor is infinite length along z axis carrying direct current I hence using
the earlier result,

The
graphical variation of
against r measured from centre of the
conductor is shown in the Fig. 7.9.9.

Ex. 7.9.2 The plane y = 1 carries current density

Sol.
:
The sheet is located at y = 1 on which
is in
direction. The sheet
is infinite and is shown in the Fig. 7.9.10.

This
is to the right of the plane as y = 5 for B.

Ex.
7.9.3 A 'z' directed current distribution is given by, 
Find
at any point r ≥ a using Ampere's circuital law.
AU
: May-19, Marks 13
Sol.
:
As current density is given,

Consider
a closed path with r > a which is Amperian path.

Ex.
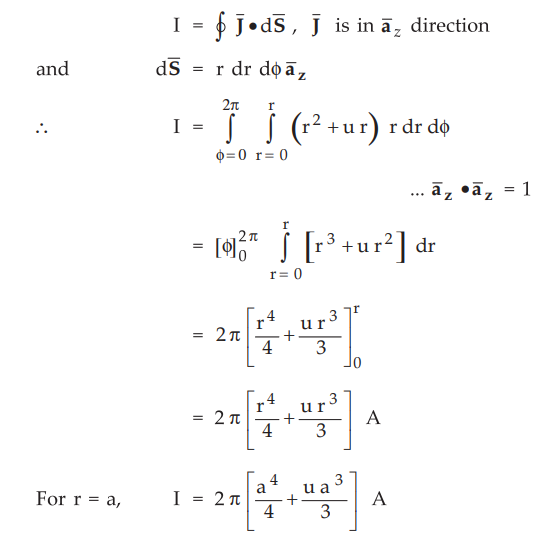
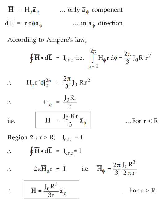
7.9.4 A long cylindrical wire has a current density flowing in the direction of
its length whose density is J= Jor, where r is the distance from the cylinder's
axis. Find the magnetic field both inside and outside the cylinder.
Sol.
:
Let the radius of the cylinder is R. It is placed along z-axis.
to be
obtained for two regions, r > R and r < R.
The
total current in the wire can be obtained by integrating current density over
its cross-section.

The
closed path of radius r within the conductors is selected.

Ex.
7.9.5 A steady current of 1000 A is established in a long straight, hollow
aluminium conductor of inner radius 1 cm and outer radius 2 cm. Assuming uniform
resistivity, calculate
as a function of radius r from the axis of
the conductor.
Sol.
:
Consider the conductor as shown in the Fig. 7.9.12.

Consider
the cross-section upto radius r as shown in the Fig. 7.9.12.

The
total current I flows through the area π [b2 - a2].
Hence
the current enclosed by the closed path is,

The
variation of
against r is shown in the Fig. 7.9.13.

Ex.
7.9.6 A current filament of 5.0 A in the
direction is parallel to
the y-axis at x = 2 m, z = - 2 m. Find
at the origin.
Sol.
:
The filament is shown in the Fig. 7.9.14.


Review Questions
1. Find the magnetic
field intensity due to infinitely long straight conductor using Ampere's
circuital law.
2. Deduce the
expression for magnetic field intensity due to a coaxial cable carrying current
I.
AU : May-14, Marks 16
3. Using Ampere's
circuital law, find magnetic field intensity due to infinite sheet of current.
AU : Dec.-02, 06, 07,
May-04, Marks 10, May-13, Marks 6
4. Discuss the
applications of Ampere's circuital law.
5. Develop an
expression for the magnetic field intensity at any point on the line through
the centre at a distance 'h' m from the centre and perpendicular to the plane
of a circular loop (in XY plane) of radius 'a'm and carrying a current 1 Ampere
in the anti-clockwise
Electromagnetic Theory: Unit III: (a) Magnetostatics : Tag: : to obtain magnetic field intensity - Applications of Ampere's Circuital Law
Electromagnetic Theory
EE3301 3rd Semester EEE Dept | 2021 Regulation | 3rd Semester EEE Dept 2021 Regulation