This distribution was discovered by James Bernoulli, though it was published in 1713, eight years after his death.
BINOMIAL
DISTRIBUTION
This
distribution was discovered by James Bernoulli, though it was published in
1713, eight years after his death.
1. Bernoulli Trial
Each
trial has two possible outcomes, generally called success and failure. Such a
trial is known as Bernoulli trial.
The
sample space for a Bernoulli trial is S = {s, f}
Example:
1.
A toss of a single coin [head or tail]
2.
The throw of a die [even or odd number]
2. Binomial experiment
An
experiment consisting of a repeated number of Bernoulli trials is called
Binomial experiment.
A
binomial experiment must possess the following properties.
(i) There must be a fixed number of trials.
(ii) All trials must have identical
probabilities of success (p)
(iii)
The trials must be independent of each other.
3. Binomial distribution ■
Consider
a set of 'n' independent Bernoullian trials (n being finite), in which the
probability p of success in any trial is constant for each trial. Then q = 1- p
is the probability of failure in any trial.
A
random variable X is said to follow binomial distribution if it assumes only
non-negative values and its probability mass function is given by

The
two independent constants n and p in the distribution are known as the
parameters of the distribution. 'n' is also, sometimes known as the degree of
the binomial distribution.
Note:
Clearly p (x) ≥ 0 for all x and ∑p (x) = (q+p)n = 1

p (x) is a probability function.
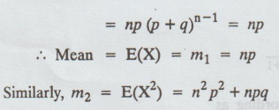
The
successive values of probability function are the successive terms in the
binomial expansion (q+p)". For this reason the distribution is called
binomial distribution.
4. Binomial frequency distribution■
Let
us suppose that n trials constitute an experiment. Then if this experiment is
repeated N times, the frequency function of the binomial distribution is given
by,
f(x)
= Np (x) = N nCxpx qn - x, x = 0, 1, 2, ... n
The
expected frequencies of 0, 1, 2, ... n successes are given by the successive
terms of N (q+p)n.
NOTE:
We get the binomial distribution under the following experimental conditions.
(i)
Each trial results in two mutually disjoint outcomes, termed as success and
failure.
(ii)
The number of trials n is finite.
(iii)
The trials are independent of each other.
(iv)
The probability of success p is constant for each trial.
5. Mode of the Binomial
Distribution
Let
us find the most probable number of successes in a series of n independent
trials with constant probability of success p i.e., we are interested in the
number of successes which has the greatest probability. The probability of x
successes is given by
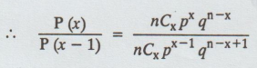
P(x)
= nCxpx qn-x
P(x-1)=
nCxpx - 1qn – x + 1

P(X)
≥ or ≤ P(X-1) according as
(n
– x + 1)p ≥ or ≤ xq
(i.e.,) according as (n + 1) p ≥ or ≤ x
og
according as x ≥ = < (n + 1) p
Case 1:
Suppose
(n + 1)p is not an integer.
Let
m be the integral part of (n + 1) p
But
putting x = 1, 2... n we get
P
(0) < P (1) < P (2) ... <P (m) > P (m + 1) > P (m + 2) .... >
P (n)
Therefore
the greatest probability is obtained if the random variable takes the value m,
the integral part of (n + 1)p
Case 2:
Suppose
(n+1)p is an integer
Let
(n + 1) p = m where m is an integer
Proceeding
as in case 1 we get
P
(0) < P (1) < ... < P (m − 1) = P(m) > P (m + 1) > .... > P
(m)
Therefore
the greatest probability is obtained when X takes the value of m or (m-1).
Hence in this case there are two modes for the binomial distribution.
6. Additive properties of Binomial random
variable
If
X1 and X2 are two independent binomial random variables
with parameters (p, n1) and (p, n2) then X1 +
X2 is a binomial RV with parameters (p, n1 + n2).
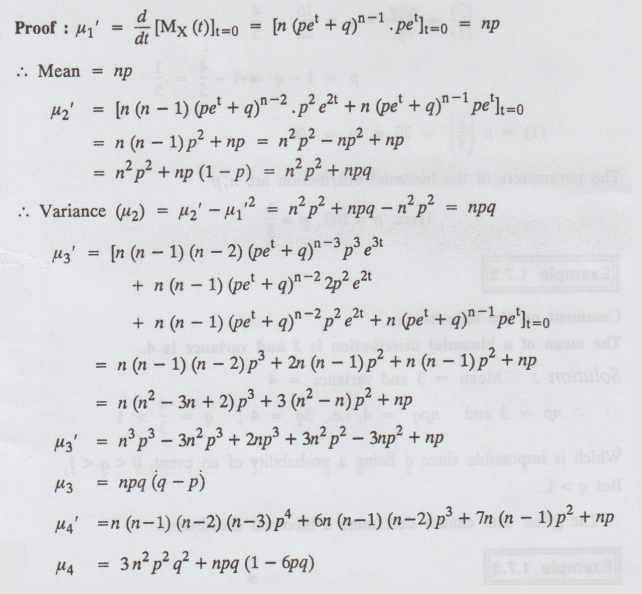
7. The moment generating function
of a binomial distribution about the mean np
On
My (t) = (pet + q)n
Differentiating
w.r.to 't' and let t = 0, we get
m1= [n (pet + q)n - 1pet]t = 0

Var
(X) = E(X2) – [E(X)]2
=
n2p2 + npq – n2p2
If
X and Y are 2 independent R.Vs having the moment generating function.
MX
(t) = (P1et +q1)n1 and MY
(t) = (P2 et + q2)n2
Then
the moment generating function of X + Y is
[
MX + Y (t) = MX (t). MY (t) = (P1et
+q1)n1 (P2 et +q2)n2
If
p1 = P2 = p and q1= q2 = q, then
MX
+ Y (t) = (pet + q)n1 + n2
8. The first four moments from the
moment generating in MX (pet + q)n1+n2
Proof :

Note:
P
[exactly 3] = P [equal to 3] = P(X = 3]
P
[atmost 3] = P [not more than 3]
= P [not greater than 3] = P(X ≤ 3]
P
[atleast 3] = P [not fewer than 3]
=
P [not less than 3] = P[X≥ 3]
Probability and complex function: Unit I: Probability and random variables : Tag: : Random variables - Binomial distribution
Probability and complex function
MA3303 3rd Semester EEE Dept | 2021 Regulation | 3rd Semester EEE Dept 2021 Regulation