• Consider a conductor carrying a direct current I and a steady magnetic field produced around it.
Biot-Savart Law
AU
: Dec.-03,07,09,10,13, May-04,07,09,10,11
•
Consider a conductor carrying a direct current I and a steady magnetic field
produced around it. The Biot-Savart law allows us to obtain the differential
magnetic field intensity
produced at a point P, due to a
differential current element IdL. The current carrying conductor is shown in
the Fig. 7.3.1.

Consider
a differential length dL hence the differential current element is IdL. This is
very small part of the current carying conductor. The point P is at a distance
R from the differential current element. The θ is the angle between the
differential current element and the line joining point P to the differential
current element.
•
The Biot-Savart law states that,
•
The magnetic field intensity
produced at a point P due to a
differential current element IdL is,
1.
Proportional to the product of the current I and differential length dL.
2.
The sine of the angle between the element and the line joining point P to the
element.
3.
And inversely proportional to the square of the distance R between point P and
the element.
•
Mathematically, the Biot-Savart law can be stated as,

Let
us express this equation in vector form.
Let dL = Magnitude of vector length
and
= Unit vector in the direction from differential current element to point P
Then
from rule of cross product,

•
The equations (7.3.3) and (7.3.4) is the mathematical form of Biot-Savart law.
•
According to the direction of cross product, the direction of
is
normal to the plane containing two vectors and in that normal direction which
is along the progress of right handed screw, turned from
through the
smaller angle 0 towards the line joining element to the point P. Thus the
direction of
is normal to the plane of paper. For the case
considered, according to right handed screw rule, the direction of
is
going into the plane of the paper.
•
The entire conductor is made up of all such differential elements. Hence to
obtain total magnetic field intensity
, the above equation (7.3.4)
takes the integral form as,

•
The closed line integral is required to ensure that all the current elements
are considered. This is because current can flow only in the closed path, provided
by the closed circuit. If the current element is considered at point 1 and
point P at point 2, as shown in the Fig. 7.3.2 then,

This
is called integral form of Biot-Savart law.
•
Consider a surface carrying a uniform current over its surface as shown in the
Fig. 7.3.3. Then the surface current density is denoted as
and
measured in amperes per metre (A/m). Thus for uniform current density, the
current I in any width b is given by I = Kb, where width b is perpendicular to
the direction of current flow.
• Thus if dS is the differential surface area
considered of a surface having current density
then,

•
If the current density in a volume of a given conductor is
measured
in A / m2 then for a differential volume dv we can write,

•
Hence the Biot-Savart law can be expressed for surface current considering
dS while for volume current considering
dv.

•
The Biot-Savart law is also called Ampere's law for the current element.
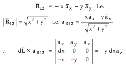
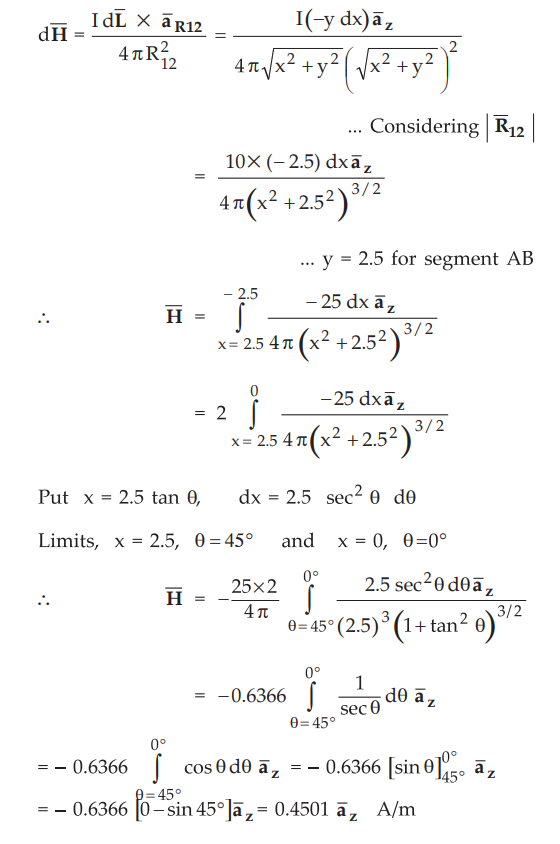
Ex.
7.3.1 Find the magnetic flux density at the centre 'P' of a square of sides
equal to 5m and carrying 10 amperes of current.
AU
: Dec.-03, 07, Marks 16, Hay-09, Marks 8
Sol.
: The
square is placed in the xy plane as shown in the Fig. 7.3.4.

Consider
differential element dx along AB of the square.

The
joining differential element to point P is,

According
to Biot-Savart law,

This
is due to the segment AB of the square. All sides will produce
same
at point P.

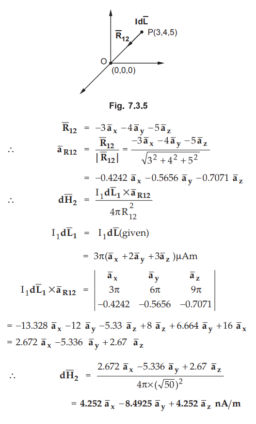
Ex.
7.3.2 Find the magnetic field intensity at the origin due to a current element,

AU
: May-07, Marks 10
Sol.
:

Examples
for Practice
Ex.
7.3.3 Find the incremental field strength at
P2 due to the current element of
The co-ordinates of P1
and P2 are (4,0, 0) and (0, 3, 0) respectively.

Ex.
7.3.4 A wire of length L is formed into a)
Circle b) Equilateral triangle and c) Square. For the same current I, find the
magnetic field
at the centre of each.

7.3.5
Given points are A (1, 2, 4), B (- 2, - 1, 3) and C (3, 1, - 2). Let the
differential current element with I = 6 A and
m is located at
point A. The direction of
is from A to B. Find
at C.

Review Question
1. State and explain
Biot-Savart law.
AU : Dec.-03, 09. 10,
13, May-04, 10. 11, Marks 4
Electromagnetic Theory: Unit III: (a) Magnetostatics : Tag: : Definition, Equation, Solved Example Problems - Biot-Savart Law
Electromagnetic Theory
EE3301 3rd Semester EEE Dept | 2021 Regulation | 3rd Semester EEE Dept 2021 Regulation