• As mentioned earlier, the Laplace's equation can be used to find the capacitance under various conditions. Let us discuss few examples of calculating capacitance using Laplace's equation.
Calculating Capacitance using Laplace's Equation
AU
: Dec.-09, 10, May-03, 11, 12
•
As mentioned earlier, the Laplace's equation can be used to find the
capacitance under various conditions. Let us discuss few examples of
calculating capacitance using Laplace's equation.
Key
Point : Note that as outer shell is at higher potential,
is directed from outer to inner shell and hence in
direction.
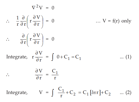
Ex.
6.5.1 Solve the Laplace's equation for the potential field in the homogeneous
region between the two concentric conducting spheres with radii a and b, such
that b>a if potential V = 0 at r = b and V = Vo at r = a. And find the
capacitance between the two concentric spheres.
AU
: May-11, Marks 8
Sol.
:
The concentric conductors are shown in the Fig. 6.5.1.

At
r = b, V = 0 hence the outer sphere is shown at zero potential.
The
field intensity
will be only in radial direction hence V is changing
only in radial direction as the radial distance r, and not the function of θ
and ϕ
According to Laplace's equation,

This
is the potential field in the region between the two spheres.

As
per the boundary conditions between conductor and dielectric, the
is
always normal to the surface hence ![]()

Ex.
6.5.2 Use Laplace’s equation to find the capacitance per unit length of a
co-axial cable of inner radius 'a' m and outer radius 'b' m. Assume V = V0 at r
= a and V = 0 at r = b.
AU
: Dec.-09, Marks 16
Sol.
:
The co-axial cable is shown in the Fig. 6.5.2.

Consider
cylindrical co-ordinate system. The field intensity
is in radial
direction from inner to outer cylinder hence V is a function of r only and not
the function of ϕ and z.
Using
Laplace's equation,

Using
boundary conditions, V = 0 at r = b and V = V0 at r = a,

Ex.
6.5.3 Solve one dimensional Laplace equation to obtain the field inside a
parallel plate capacitor and also find the expression for the surface charge
density at two plates. Hence find the capacitance between the parallel plates.
AU
: May-03, Marks 16
Sol.
:
Consider the two parallel plates as shown in the Fig. 6.5.3 with lower plate at
V = 0 V and upper plate at V = Vi V. They are separated by distance d. Consider
the cylindrical co-ordinates.

Key
Point : Potential V is a function of z alone and is
independent of r and ϕ .

The
acts in the normal direction as per the boundary conditions. Thus 

This
is the magnitude of the surface charge densities on the plates. It is positive
on the upper plate and negative on the lower plate.
Let
surface area of the plate is A.

Ex.
6.5.4 Conducting spherical shells with radii a = 8 cm and b = 20 cm are
maintained at a potential difference of 100 V such that V(r = b) = 0 and
V
= (r = a) = 100 V. Determine V and
in the region between the
shells. If Ɛr = 2 in the region determine the total charge induced on the
shells and the capacitance of the capacitor.
Sol.
:
Refer example 6.5.1 for the procedure. Use V0 = 100 V, b = 0.2 m, a = 0.08 m
and Ɛr = 2.
Verify
the answers as,

Ex.
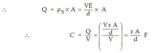
6.5.5 Two parallel conducting plates are separated by distance 'd' apart and
filled with dielectric medium having 'Ɛr' as relative permittivity. Using
Laplace's equation derive an expression for capacitance per unit length of
parallel plate capacitor, if it is connected to a DC source supplying 'V'
volts.
Sol.
:
Refer example 6.5.3 and use —1 = V.
ρS
= VE / d C/m2
Now
let surface area of the plate is A m2.

This
is the required expression for the capacitance of a parallel plate capacitor.
Example
for Practice
Ex.
6.5.6 A capacitor of two large horizontal
parallel plates has an internal separation 'd' between plates. A dielectric
slab of relative permittivity £r and thickness a is placed on the lower plate
of capacitor. Neglect edge effects. If the potential difference between the
plates is show that the electric - field intensity E1 in the
and capacitance
C of the arrangement will be :

Review Questions
1. Find the expression
for the cylindrical capacitance using Laplace’s equation.
2. Obtain the
capacitance of parallel plate capacitor using Laplace's equation.
3. Obtain the
capacitance of spherical plate capacitor using Laplace’s equation.
4. Obtain the
capacitance of co-axial cable capacitor using Laplace's equation.
Electromagnetic Theory: Unit II: (c) Poissons and Laplaces Equations : Tag: : with Example Solved Problems - Calculating Capacitance using Laplace's Equation
Electromagnetic Theory
EE3301 3rd Semester EEE Dept | 2021 Regulation | 3rd Semester EEE Dept 2021 Regulation