Questions : 1. Derive an expression for the maximum and minimum dielectric stress in a single core cable and obtain the criterion for keeping the dielctric stress to a minimum value. 2. Derive the expression for the capacitance of a single core cable and give the expression for the maximum and minimum dielectric stress.3. A single core cable has a conductor diameter of a 1 cm and internal sheath diameter of 3 cm. If PVC of relative permittivity 5 is used as the insulation, calculate the capacitance for 1 km length of the cable.4. Prove that the most economical conductor size in a cable is d = D / 2.718 5. Calculate the most economical diameter of a single core cable to be used on 132 kV, 3 phase system. Find also the overall diameter of the insulation if the peak permissible stress is not to exceed 60 kV/cm. 6. Calculate the capacitance and charging current of a single core cable used in 3 phase, 66 kV system. The cable is 1 km long and having a core diameter of 15 cm and impregnated paper insulation of thickness 22.5 cm. The relative permittivity of the insulation may be taken as 3.5 and supply frequency at 50 Hz.
Capacitance of a Single
Core Cable
A single core cable is equivalent to two
long co-axial cylinders. The inner cylinder is the conductor itself while the
outer cylinder is the lead sheath. The lead sheath is always at earth
potential.
Let d
= Conductor diameter and
D = Total diameter with sheath
The co-axial cylindrical form of cable
and its section are shown in the Fig. 6.7.1 (a) and (b).

Let Q
= Charge per metre length of conductor in coulombs
ε = Permittivity of material between
core and sheath
Now ε
= ε0 εr
where
ε0 = Permittivity of free space = 8.854 × 10 12 F/m
and εr
= Relative permittivity of the medium
Consider an elementary cylinder with
radius x and axial length of 1 m. The thickness of the cylinder is dx.
According to Gauss's theorem, the lines
of flux emanating due to charge Q on the conductor are in radial direction and
total flux lines are equal to the total charge possessed i.e. Q lines. As lines
are in radial direction, the cross-sectional area through which lines pass is
surface area. For a cylinder with radius x, the surface area is (2πx × axial
length)m2. As axial length considered is 1 m, the surface area is
2πx × m2
Flux density = Q / Surface area
= Q / 2πx C / m2
The electric field intensity at any
point P on the elementary cylinder is given by,

Hence the work done in moving a unit
charge through a distance dx in the direction of an electric field is gx
dx.
Therefore the work done in moving a unit
charge from the conductor to sheath is the potential difference between the
conductor and the sheath given by,

Note that as length considered is 1 m,
the capacitance is F/m. If required for length l multiply C by l.
Substituting value of ε0 ,

Note : To avoid the
confusion of units, students can use the expression given by equation (6.7.1),
to calculate capacitance while solving the problem.
Charging current :
When the capacitance C of a cable is known then its reactance is given by,
XC = 1 / ωC = 1 / 2πfC Ω
Then the charging current of the cable
is given by,
IC = Vph / XC
where Vph = Phase voltage between core and sheath = Vline
/ √3
The electrical stress in insulation is
the electric field intensity acting at any point P in insulation.

The variation of stress in the
dielectric material is shown in the Fig. 6.7.2.

The ratio of maximum and minimum stress
is,

Key Point
If value of voltage used is r.m.s. we get r.m.s. values of stresses and if
value of voltage used is peak, we get peak values of stresses.
In practice, the maximum stress value
should be as low as possible. When the voltage V and sheath diameter D are
fixed, the only parameter to be selected is the core diameter d. So d should be
selected for which gmax value is minimum.

Key Point
The core diameter must be 1/2.718 times the sheath diameter D so as to give
the minimum value of gmax.
The value of minimum gmax is,

For high voltage cables, for a required
gmax if d is determined by the expression (6.7.5), it gives very large values
of d than required for current carrying capacity. And such extra copper
required can increase the cost tremendously. Hence to increase d without the
use of an extra copper following methods are used :
1. Aluminium is used instead of copper
as the aluminium size is more than copper for the same current carrying
capacity.
2. Using stranded copper conductors
around a dummy core of jute or hemp.
3. Using stranded copper conductors
around a lead tube instead of hemp.
Example 6.7.1
A concentric cable has a conductor diameter of 0.6 cm and the insulation
thickness of 1.4 cm. If the dielectric used has relative permittivity of 5,
calculate the capacitance for 1 km length of the cable.
Solution d = 0.6 cm and t = 1.4 cm
D = d + 2t

Example 6.7.2
The r.m.s. values maximum and minimum stresses in the insulation of a single
core cable are 50 kV/cm and 15 kV/cm respectively. The conductor diameter is
1.8 cm. Calculate: a) Thickness of insulation b) Working voltage
Solution:

As gmax given is r.m.s., the
value of working voltage is also r.m.s.
Example 6.7.3
Calculate the capacitance, charging current and the insulation resistance of
a single core cable 33 kV, 50 Hz and 2 km long having a core diameter of 2 cm
and the sheath diameter of 7 cm. The relative permittivity of the insulation is
3.5 and the resistivity of the insulation is 4.5 × 1014Ω cm.
Solution :
d = 2 cm, D = 7 cm, l = 2 km, εr = 3.5, p = 4.5x 1014
Ω cm

Example 6.7.4
Calculate the most economical diameter of a single core cable to be used on
132 kV, 3 phase system. Find also the overall diameter of the insulation, if
the peak permissible stress is not to exceed 60 kV/cm.
AU: Dec.-05, 15, Marks 8
Solution :

Example 6.7.5
A single core cable has a conductor of diameter 3 cm and inside diameter of
lead sheath is 6 cm. If the cable is designed for operating voltage of 33 kV
(line to neutral), find
i) Maximum and minimum values of
electric stress.
ii) Optimal value of conductor radius
for the smallest value of the maximum stress.
AU: May-06, Marks 8

Example 6.7.6 A
33 kV single core cable has a conductor diameter of 1 cm and a sheath of inside
diameter 4 cm. Find the maximum and minimum stress in the insulation.
AU : Dec.-13, Marks 6
Solution :
d = 1 cm, D = 4 cm, V]ine =33 kV (r.m.s.)

Example 6.7.7
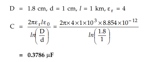
A single core cable has a conductor diameter of 1 cm and internal sheath
diameter of 1.8 cm. If impregnated paper of relative permittivity 4 is used as
the insulation calculate the capacitance for 1 km length of the cable.
AU: May-18, Marks 5
Solution :

Review Questions
1. Derive an expression for the maximum and minimum
dielectric stress in a single core cable and obtain the criterion for keeping
the dielctric stress to a minimum value.
2. Derive the expression for the capacitance of a single
core cable and give the expression for the maximum and minimum dielectric
stress.
AU: May-18, Marks 8
3. A single core cable has a conductor diameter of a 1 cm
and internal sheath diameter of 3 cm. If PVC of relative permittivity 5 is used
as the insulation, calculate the capacitance for 1 km length of the cable.
[Ans. : 0.253 μF]
4. Prove that the most economical conductor size in
a cable is d = D / 2.718
5. Calculate the most economical diameter of a single core
cable to be used on 132 kV, 3 phase system. Find also the overall diameter of
the insulation if the peak permissible stress is not to exceed 60 kV/cm.
[Ans.: 3.6 cm, 9.79 cm]
6. Calculate the capacitance and charging current of a
single core cable used in 3 phase, 66 kV system. The cable is 1 km long and
having a core diameter of 15 cm and impregnated paper insulation of thickness
22.5 cm. The relative permittivity of the insulation may be taken as 3.5 and
supply frequency at 50 Hz.
[Ans.: 0.1404 µF, 1.68 A]
Transmission and Distribution: Unit IV: Underground Cables : Tag: 2. Economical Core Diameter : Stress in Insulation - Capacitance of a Single Core Cable
Transmission and Distribution
EE3401 TD 4th Semester EEE Dept | 2021 Regulation | 4th Semester EEE Dept 2021 Regulation