Questions : 1. Describe an experiment to determine the capacitance of a belted 3 phase cable. 2. Derive an expression for the capacitance of a three core cable and the charging current. 3. A3 core, 3 phase metal sheathed cable gave the following results on testing for cables : i) Capacitance between all conductors bunched and the sheath is 0.9 µF. ii) Capacitance between two conductors bunched connected to sheath and third conductor is 0.4 µF. Calculate, a) Capacitance between any two conductors b) The capacitance to neutral c) The charging current taken by the cable when connected to 22 kV, 3 phase, 50 Hz system.
Capacitance of Three Core
Cables
In three core cables, capacitances play
an important role because in such cables capacitances exist between the cores
as well as each core and the sheath. These capacitances are dominating as the
dielectric constant of the dielectric used in cables is much more than the air.
The capacitances are shown in the Fig. 6.9.1.

The core to core capacitances are
denoted as CC while core to sheath capacitances are denoted as CS.
The core to core capacitances CC
are in delta and can be represented in the equivalent star as shown in the Fig.
6.9.2.

The impedance between core 1 and the
star point, Z1 can be obtained as,

If star point is assumed to be at earth
potential and if sheath is also earthed then the capacitance of each conductor
to neutral is,
CN = CS + C1
= CS + 3 CC
If Vph is the phase voltage
then charging current per phase is,

The total capacitance CN is not easy to
calculate but by actual practical measurement Cs and Cc can be determined.
Practical measurement involves two cases
:
Case 1 :
The cores 2 and 3 are connected to sheath.
Thus the CC between cores 2
and 3 and CS between cores 2, 3 and sheath get eliminated as shown
in the Fig. 6.9.3.

All the three capacitances are now in
parallel across core 1 and the sheath.
The capacitance of core 1 with sheath is
measured practically and denoted by Ca.
Ca = CS + 2 CC
Case 2 :
All the three cores are bundled together.

This eliminates all the core-core
capacitances. This is shown in the Fig. 6.9.5.

The capacitances CS are in
parallel between the common core and sheath.
This capacitance is practically measured
and denoted as Cb.
Cb = 3 CS ...
(6.9.2)
Solving equations (6.9.1) and (6.9.2) simultaneously,

Thus both the capacitances can be
determined.

Example 6.9.1
A 3 core, 3 phase metal sheathed cable on testing for the capacitance gave
the following results :
i) Capacitance between all conductors
bunched and sheath = 0.6 µF
ii) Capacitance between two conductors
bunched with sheath and third conductor = 0.36 µF
With the sheath insulated find,
a) Capacitance between any two
conductors
b) Capacitance to neutral
c) Charging current if cable is
connected to 11 kV, 3 phase, 50 Hz system.
Solution :
The methods used to measure the capacitances are described earlier.

a) To find capacitance between any two
conductors Converting internal star to equivalent delta,

The equivalent circuit is shown in the
Fig. 6.9.7.

Hence capacitance between any two
conductors is as shown in the Fig. 6.9.8.

Two equal capacitances in series give
equivalent 1 ( equal to half the value of each capacitance.

There is one empirical formula to
calculate the capacitance of a three core belted cable, stated by Simon. It is
applicable for the circular conductors. The formula gives the capacitance of a
three core cable to neutral per phase per kilometre length of the cable. The
formula is given as,

where, εr = Relative
permittivity of the dielectric
d = Conductor diameter
t = Belt insulation thickness
T = Conductor insulation thickness
The formula can be used when the test
results are not available. This gives approximate value of the capacitance. If
e r is not given, it can be assumed to be 3.5. It must be remembered that all
the values of d, t and T must be used in the same units while using the
formula.
Example 6.9.2 A
three core cable has core diameter of 2 cm and core to core distance of 4 cm.
The dielectric material has relative permittivity of 5. Compute the capacitance
of this cable per phase per km. Thickness of the conductor insulation is 1 cm
and that of belt insulation is 0.5 cm.
Solution :
d = 2 cm, εr = 5, T = 1 cm, t = 0.5 cm
Use the empirical formula as the test
results are not given.

Example 6.9.3
A 2 km long 3 core, 3 cable has capacitance 0.5 pF/km between two conductors
bunched with sheath and the third conductor. The capacitance between the
conductors is also measured when bunched together and the sheath and found to
be 0.75 pF/km. Determine
i) Capacitance between phases
ii) Capacitance between the conductor
and the sheath
iii) Effective per phase capacitance
iv) Capacitance between two conductors
connecting a third conductor to the sheath
v) Charging current if the supply
voltage is 11 kV, 50 Hz.
Solution :
Case i) The cores 2 and 3 are connected to sheath and core 1.
Ca = CS + 2CC=
0.5 µF/km
Case ii)
3 cores bunched together and sheath

iv) Capacitance between two conductors
connecting a third conductor to the sheath.

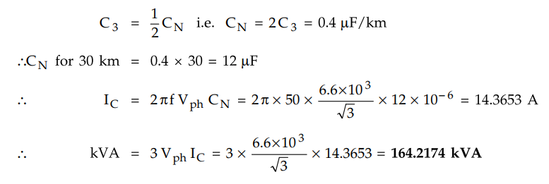
Example 6.9.4
The capacitance per kilometer of a 3 phase belted core cable is 0.2 micro
farad/km between two cores with the third core connected to sheath. Calculate
the kVA. The supply voltage 6.6 kV and 30 km long.
Solution :
The capacitance between two cores with third core connected to sheath is C3 =
0.2 µF/km. In such a case; one of the capacitor CS is eliminated and
this gives,

Review Questions
1. Describe an experiment to determine the capacitance of a
belted 3 phase cable.
2. Derive an expression for the capacitance of a three core
cable and the charging current.
3. A3 core, 3 phase metal sheathed cable gave the following
results on testing for cables :
i) Capacitance between all conductors bunched and the
sheath is 0.9 µF.
ii) Capacitance between two conductors bunched connected to
sheath and third conductor is 0.4 µF. Calculate,
a) Capacitance between any two conductors b) The
capacitance to neutral c) The charging current taken by the cable when
connected to 22 kV, 3 phase, 50 Hz system.
[Ans.: 0.15 µF, 0.45 µF, 1.7956 A]
Transmission and Distribution: Unit IV: Underground Cables : Tag: : Measurement of CS and CC - Capacitance of Three Core Cables
Transmission and Distribution
EE3401 TD 4th Semester EEE Dept | 2021 Regulation | 4th Semester EEE Dept 2021 Regulation