• The transistor can be connected in a circuit in the following three configurations. 1. Common base configuration. 2. Common emitter configuration. 3. Common collector configuration.
CB, CE and CC Transistor Configurations
AU:Feb.-02,09,Dec.-02,03,04,05,06,07,08,09,10,13,17May
03,05,06,07,09,11,12,13,14,17
•
The transistor can be connected in a circuit in the following three
configurations.
1.
Common base configuration.
2.
Common emitter configuration.
3.
Common collector configuration.
Key
Point : Regardless of circuit configuration, the base
emitter junction is always forward biased while the collector-base junction is
always reverse biased, to operate transistor in active region.
•
To under stand complete electrical behaviour of a transistor it is necessary to
study the interrelation of the various currents and
voltages. These relationships can be plotted graphically which are commonly
known as the characteristics of transistor.
•
The most important characteristics of transistor in any configuration are input and output characteristics.
•
The Fig. 2.4.1 shows the common base configuration. As shown in Fig. 2.4.1, in this configuration input is applied
between emitter and base and output is taken from the collector and base.
•
Here, base of the transistor is common to both input and output circuits and
hence the name common base configuration.
•
Common base configurations for both npn and pnp transistors are shown in Fig.
2.4.1 (a) and 2.4.1 (b), respectively.

a.
Current Relations in CB Configuration
•
In common base configuration, the collector current IC is given by,
IC
= IC (INJ) + ICBO ... (2.4.1)
IC
(INJ) : It is an injected collector current due to number of
electrons crossing the collector base junction.
ICBO
: It is the reverse saturation current
flowing due to the minority carrier between collector and base when the emitter
is open. ICBO is negligible as compared to IC(INJ) therefore we have
IC
≈ IC(INJ)
However,
when emitter is open
IC
= ICBO

Key
Point : The reverse saturation current, ICBO, is
temperature sensitive and it doubles for every 10 °C rise in temperature.
Current
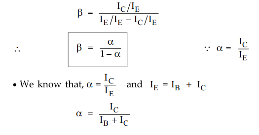
Application Factor (ɑdc)
ɑdc
: It is defined as the ratio of the collector current resulting from carrier
injection to the total emitter current.
ɑdc
= ɑ ≈ IC(INJ) / IE …(2.4.2)
•
Since IC < IE the value of adc is always less than
unity. It ranges from 0.95 to 0.995 depending on the thickness of the base
region; larger the thickness of the base, smaller is the value of ɑdc.
It represents the current gain in the CB configuration.
•
Substituting the value of IC(INJ) in equation (2.4.2) we have
IC
≈ ɑdc IE
Current
amplification factor in CB ɑdc = IC / IE

Ex.
2.4.1 Given IE = 2.5 mA, ɑ = 0.98 and ICBO = 10 µA, calculate IB
and IC.
Sol.
:

b.
Input Characteristics (Base Curves)
•
It is the curve between an input voltage VEB (emitter-base voltage) and input
current IE (emitter current) at constant collector-base voltage VCB- The
emitter current is taken along Y-axis and emitter base voltage along X-axis.
•
Fig. 2.4.3 shows the input characteristics of a typical transistor in
common-base configuration.

From
this characteristics we can observe the following important points :
1. The input resistance is a ratio of change in emitter-base voltage (ΔVEB) to the resulting change in emitter current (Δ IE) at constant collector-base voltage (VCB).
It is given by

2.
After the cut-in voltage (barrier potential, normally 0.7 V for silicon and 0.3
V for germanium), the emitter current (IE) increases rapidly with small
increase in emitter-base voltage (VEB). Thus, the input resistance is very
small.
3.
It can be observed that there is slight increase in emitter current (lE) with
increase in VCB. This is due to change in the width of the depletion region in
the base region under the reverse biased condition.
4.
VCB is positive for npn transistor and it is negative for pnp transistor. On
the other hand VEB is negative for npn transistor and it is positive for pnp
transistor.
c.
Output Characteristics (Collector Curves)
•
It is the curve between collector current IC and collector base voltage VCB at
constant emitter current IE. The collector current is taken along Y-axis and
collector-base voltage magnitude along X-axis. Fig. 2.4.4 shows the output characteristics
of a typical transistor in common base configuration.

From
this characteristics we observe following points :
1.
The output characteristics has three basic regions : Active, cut-off and
saturation.
2.
Active region :
•
For the operation in the active region, the emitter-base junction (JE) is
forward biased while collector base junction (Jc) is reverse biased.
•
In this region, collector current IC is approximately equal to the emitter
current (IE) and transistor works as an amplifier.
•
In the active region, the collector current is essentially almost constant.
•
The Dynamic output resistance is the ratio of change in collector base voltage
(AVCB) to the resulting change in collector current (AIC) at constant emitter
current (IE). It is given by

•
The collector current IC is almost independent on collector-base voltage VCB
and the transistor can be said to work as constant-current source. This
provides very high dynamic output resistance.
3.
Saturation region : In this region, the emitter-base
junction (JE) and collector base junction (Jc) both are forward biased (VCB is
negative). Here, the Ic is independent of IE. IC decreases rapidly as VCB
becomes more negative.
4.
Cut-off region : The region below the curve IE = 0 is
known as cut-off region, where the collector current is nearly zero and the
collector-base (Jc) and emitter-base (JE) junctions of a transistor are reverse
biased.
5.
DC current gain :
ɑdc
= ɑ = IC/IE
where
IC and IE are the values of collector current and emitter
current at any point on the curve.
6.
AC current gain :
ɑdc
= ΔIC / ΔIE | VCB = constant
d.
Early Effect
•
When reverse bias voltage VCB increases, the width of depletion region also
increases, which reduces the electrical base width. This effect is called as Earty
effect' or Base width modulation'.
•
This decrease in base width has two consequences.
1.
There is less chance for recombination within the base region. Hence the
transport factor β*, and also a, increase with an increase in the magnitude of
the collector junction voltage.
2.
The charge gradient is increased within the base, and consequently, the current
of minority carriers injected across the junction increases. This increases
emitter current slightly. Refer Fig. 2.4.5.

•
In this configuration input is applied between base and emitter, and output is
taken from collector and emitter.
•
Here, emitter of the transistor is common to both, input and output circuits,
and hence the name common emitter configuration.
•
Common emitter configurations for both npn and pnp transistors are shown in
Fig. 2.4.6 (a) and 2.4.6 (b), respectively.

• The input voltage in the CE configuration is the base-emitter voltage (VBE) and the output voltage is the collector-emitter voltage (VCE). The input current is IB and the output current is Ic.
a. Current Relations in CE Configuration
In
CB configuration we have seen that

•
The βdc is the ratio of output current IC and input
current IB in common emitter configuration. It is common emitter
amplification factor or current gain.
•
It is given by,
βdc
= IC / IB
We
know that, β = IC / IB
We
have, IE = IC + IB
i.e.,
IB = IE – IC
β
= IC / IE - IC
IB
= IE – IC
•
Dividing the numerator and denominator of R.H.S. of above equation by IE, we
get,

•
Dividing the numerator and denominator of R.H.S. of above equation by IB, we
get,

Ex.
2.4.2 Calculate the values of IC and IE for a BJT with ɑdc
= 0.97 and IB = 50 µA. Determine βdc for the device.
Sol.:

•
The terms (1 + Pdc) ICBO in equation (2.4.5) is denoted as ICEO and Is the
reverse saturation current for the CE configuration.

Ex.
2.4.3 For a transistor in common emitter configuration, the reverse leakage
current is 21 [iA, whereas when the same transistor is connected in common base
configuration, it reduces to 1.1 µA. Calculate values of ɑdc and βdc
of the transistor.
Sol.:

Ex.
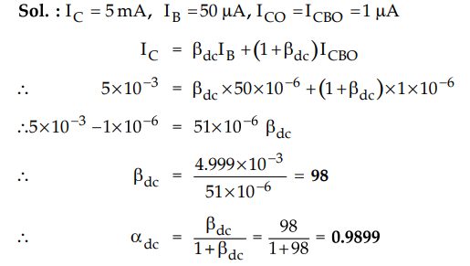
2.4.4 calculate the ɑdc and βdc for the given transistor
for which IC = mA, IB = 0 µA and ICD =
1µA
Sol.:

b.
Input Characteristics (Base Curves)
•
It is the curve between and input voltage VBE (base-emitter voltage) and input
current IB (base current) at constant collector-emitter voltage, VCE- The base
current is taken along Y-axis and base emitter voltage VBE is taken
along X-axis.
•
Fig. 2.4.8 shows the input characteristics of a typical transistor in
common-emitter configuration.

From
this characteristics we observe the following important points :
1. The input resistance is the ratio of change
in base-emitter voltage (ΔVBE ) to the resulting change in base current (ΔIB)
at constant collector emitter voltage VCE. It is given by,

2.
The value of r in CE configuration is greater than the value of r in CB
configuration.
3.
As the input to a transistor in the CE configuration is between the
base-to-emitter junction, the CE input characteristics resembles a family of
forward biased diode curves.
4.
After the cut-in voltage, the base current (IB) increases rapidly with small
increase in base-emitter voltage (VBE ). Thus the dynamic input resistance is
small in CE configuration.
5.
For a fixed value of VBE, IB decreases as VCE is increased.
6.
Voltages VBE and VCE are positive for npn transistor and they are negative for
pnp transistor.
c.
Output characteristics (Collector Curves)
From
this characteristics we observe the following important points :
1.
This characteristics shows the relation between the collector current IC and
collector voltage VCEz for various fixed values of IB. This characteristics is often
called collector characteristics. A typical family of output characteristics
for an n-p-n transistor in CE configuration is shown in Fig. 2.4.9.

2.
The value of βdc of the transistor can be found at any point on the
characteristics by taking the ratio IC to IB at that
point, ie- βdc = IC /IB. This is known as D.C. beta for the
transistor.
3.
From the output characteristics, we can see that change in collector-emitter
voltage (ΔVCE) causes the little change in the collector current (ΔIC)
for constant base current IB. Thus the output dynamic resistance is high in CE
configuration.

4.
The output characteristics of common emitter configuration consists of three
regions : Active, Saturation and Cut-off.
5.
Active region :
•
For the operation in the active region, the emitter-base junction (JE)
is forward biased while collector base junction (JC) is reverse
biased.
•
The collector current rise more sharply with increasing VCE in the linear
region of output characteristics of CE transistor.
6.
Saturation region :
•
In this region, the emitter-base junction (JE) and collector base junction (Jc)
both are forward biased. In this region, IC does not depend upon the input
current IB.
•
The saturation value of VCE, designated VCE (sat), usually ranges between 0.1 V
to 0.3 V.
7.
Cut-off region : The region below IB = 0 is the cut-off region of operation for
the transistor. In this region, both the junctions of the transistor are
reverse biased.

•
In this configuration, input is applied between base and collector and output
is taken from emitter and collector.
•
Here, collector of the transistor is common to both input and output circuits
and hence the name common collector configuration. It is also known as emitter
follower configuration.
•
Common Collector connection for both npn and pnp transistors are shown in Fig.
2.4.10(a) and 2.4.10(b), respectively.

a.
Current Relations in CC Configuration

b.
Common Collector Input Characteristics
The
input characteristics of CC configuration is a graph of input current Ig (base
current) versus input voltage VCB (collector base voltage) at constant VCE
•
The base current is taken along Y-axis and collector base voltage VCB is taken
along X-axis.
Fig.
2.4.11 shows the input characteristics of a typical transistor in
common-collector configuration.
•
The common collector input characteristics are quite different from either common
base or common emitter input characteristics. This difference is due to the
fact that the input voltage VCB is largely determined by the level of collector
to emitter voltage VCE.
•
Looking at Fig. 2.4.11 we can write,

•
In CC configuration input junction is BC and it is reversed biased so input
resistance in CC configuration is very high.
c.
Common Collector Output Characteristics
•
It is the curve between emitter current IE and collector to emitter voltage VCE
at constant base current IB.
•
The emitter current is taken along Y-axis and collector to emitter voltage
along X-axis.
•
Fig. 2.4.12 shows the output characteristics of a typical transistor in common
collector configuration.

•
Since, IC is approximately equal to IE, the common collector output
characteristics are practically similar to those of the common emitter output
characteristics.
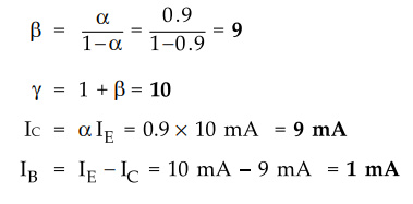
Ex.
2.4.5 A transistor has a = 0.9. If IE = 10 mA, find the values of β, ɤ, IB and
Ic.
Sol
.:


CE
configuration is most widely used in amplifier circuits
•
The common-emitter configuration is widely used amongst three transistor
configurations because :
1.
Provides both voltage gain and current gain : The CE
configuration is the only configuration which provides both voltage gain as
well as current gain greater than unity. In case of CB configuration, current
gain is less than unity and in case of CC configuration, voltage gain is less
than unity.
2.
Provides high power gain : The power gain is a product of
voltage gain and current gain. CE configuration provides voltage gain nearly
equal to voltage gain provided by CB configuration (voltage gain is maximum in
CB) and current gain nearly equal to current gain provided CC configuration
(current gain is maximum in CC). Thus the power gain of the CE amplifier is
much greater than the power gain provided by the other two configurations
(voltage gain in CC and current gain in CB are less than unity).
3.
Can be cascaded efficiently : In a common emitter
circuit, the ratio of output resistance to input resistance is small, may range
from 10 Ω to 100 Ω. This makes configuration an ideal for coupling between
various transistor stages. However, in other connections, the ratio of output
resistance to input resistance is very large and hence coupling becomes highly
inefficient due to large mismatch of resistance.
Note
:
Maximum power is transferred from stage 1 to stage 2, when output resistance of
stage 1 is equal to the input resistance of stage 2.
•
In the previous section we have seen that to bias a transistor in a particular
operating region we have to bias the transistor junctions as shown in Table
2.8.1. Apart from this we can observe certain conditions to find the region of
operation of a transistor. These conditions are :

Review Questions
1. Draw the neat circuit configuration of CB.
AU : Dec.-lO, May-11, 13, Marks 2
2. Sketch and explain the input characteristics of transistor in
CB mode.
AU : May-05, 06, 07, 09, 14, Dec.-08, Feb.- 09
3. With a neat diagram explain the output characteristics of
transistor in CB mode.
AU ; Feb.-02, 09, Dec.-08, May-05, 06, 07, 09, 14, Marks 8
4. What is early effect ?
5. Draw the neat circuit configuration of CE.
AU : Dec.-lO, 13, May-11, 13, Marks 2
6. Sketch and explain the input characteristics of transistor in
CE mode.
AU : Dec.-03, 04, 07, 08, 10, 13, May-11, 13, Marks 5
7. With a neat diagram explain output characteristics of npn
transistor in CE-configuration.
AU : Dec.-03, 04, 07, 08, 10, May-11, 13, Marks 5
8. Explain the operation of NPN transistor in CE configuration
with it's input and output characteristics. Also define active, saturation and
cut-off regions.
9. Draw the neat circuit configuration of CC.
AU : Dec.-lO, May-11, Marks 2
10. Draw and explain the input characteristics of common collector
configuration.
11. Draw and explain the output characteristics of common
collector configuration.
12. Define current gain of CC configuration.
13. Compare CB, CE and CC transistor configurations.
AU : Dec.-02,05,13,May-03,06,12, Marks 8
14. Write the relation between Ic, ft IB and ICBO in a BJT
AU : May-05, Marks 2
15. Explain the three regions of output characteristics of a
transistor in CE configuration.
AU : Dec.-06, Marks 8
16. Explain the input I output characteristics of BJT in common
base configuration.
AU : May-14, Marks 11
17. Compare CE, CB and CC configurations of BJT.
AU : May-14, Marks 5
18. Compare the performances of CE and CC configuration.
19. Compare the characteristics of CB, CE and CC amplifiers.
Electron Devices and Circuits: Unit II: (a) Bipolar Junction Transistors (BJT) : Tag: : Bipolar Junction Transistors (BJT) - CB, CE and CC Transistor Configurations
Electron Devices and Circuits
EC3301 3rd Semester EEE Dept | 2021 Regulation | 3rd Semester EEE Dept 2021 Regulation