The most widely used model for the distribution of a random variable is a normal distribution. Whenever a random experiment is replicated, the random variable that equals the average result over the replicates tends to have a normal distribution as the number of replicates becomes large.
CENTRAL LIMIT THEOREM
[for independent and identically distributed random variables]
The
most widely used model for the distribution of a random variable is a normal
distribution. Whenever a random experiment is replicated, the random variable
that equals the average result over the replicates tends to have a normal
distribution as the number of replicates becomes large. De Moivre presented
this fundamental result, known as the central limit theorem, in 1733.
The
central limit theorem says that the probability distribution function of the
sum of a large number of random variables approaches a gaussian distribution.
Although the theorem is known to apply to some cases of statistically dependent
random variables, most applications, and the largest body of knowledge are
directed towards statistically independent random variables.
It
not only provides a simple method for computing approximate probabilities for
sums of independent random variables, but it also helps explain the remarkable
fact that the empricial frequencies of so many natura populations exhibit bell
shaped (that is, normal) curves.
The
first version of the central limit theorem was proved by De Moivre around 1733.
This was subsequently extended by Laplace (the Newton of France) Laplace also
discovered the more general form of the central limit theorem which is given.
His proof, however, was not completely rigorous and, in fact, cannot easily be
made rigorous. A truly rigorous proof of the central limit theorem was first
presented by the Russian mathematician Liapounoff in the period 1901 - 1902.
The
application of the central limit theorem to show that measurement errors are
approximately normally distributed is regarded as an important contribution to
science. Indeed, in the seventeenth and eighteenth centuries the central limit
theorem was often called the "law of frequency of errors".
1. Central Limit Theorem: [Lindberg-Levy's form] [A.U A/M 2004,
N/D 2010, A/M 2010, N/D 2011] [A.U M/J 2013, N/D 2013]
Statement
:
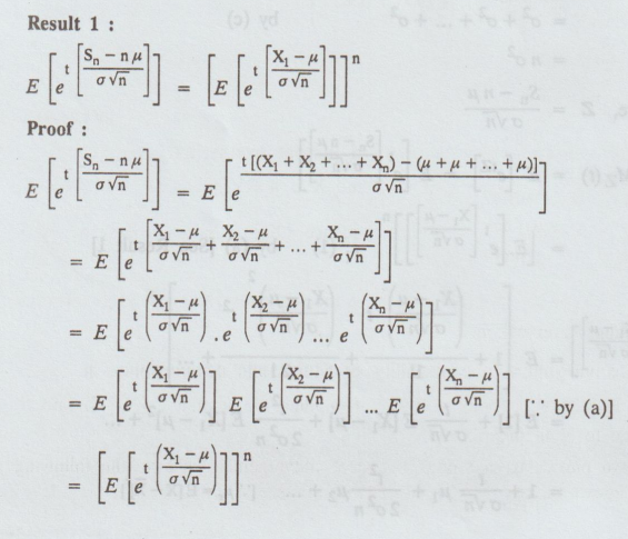
If
X1, X2, ..., Xn be a sequence of independent
identically distributed random variables with E [Xi] = μ and Var [Xi]
= σ2, i = 1, 2, ..., n and if Sn = X1 + X2
+ ... + Xn, then under certain general conditions, Sn
follows a normal distribution with mean 'n µ' and variance 'n σ2 as
n → ∞
Proof
:
Given :
(a)
X1, X2, ..., Xn be 'n' independent and
identically distributed r.v's
(b)
E[X1] = E[X2] = E[Xn] = µ
(c)
Var [X1] = Var [X2] = Var [Xn] = σ2
(d)
Sn = X1+ X2 + ... + Xn
To
prove : (1) Mean of Sn = n µ
(2)
Var [Sn] = n σ2
(3)
Sn must be a normal variate with mean 'n u' and s.d. 'o σ √n'

By
using uniqueness property of m.g.f, the variate. Z must be a standard normal
variate as n → ∞
Z
= Sn – n µ / σ√n
Sn
must be a normal variate having (mean = n µ) and (s.d = √σ n)
Thus,
as n → ∞, Sn ~ N[n µ, n σ2]
Hence
the proof.
Result 1:

Result
2:

2. Convergence everywhere and almost everywhere
If
{Xn} is a sequence of RVs and X is a RV such that it [Xn]
= X,
i.e.,
Xn → X as ∞, then the sequence {Xn} is said to converge
to X everywhere.
If
P {Xn → X} = 1 as n→ ∞, then the sequence {Xn} is said to
converge to X almost everywhere.
3. Convergence in probability or Stochastic convergence
If
P { |Xn – X| > ε} → 0 as n → ∞, then the sequence {Xn}
is said to converge to X in probability.
As
a particular case of this kind of convergence, we have the following result,
known as Bernoulli's law of large numbers.
If
X represents the number of successes out of 'n' Bernoulli's trials with
probability of success P (in each trial), then {X/n} converges in probability to
P.
i.e.,
P ( | X/n – P | > ε } → 0 as n → ∞
4. Convergence in the mean square sense
If
E {|Xn - X|2} → 0 as n → ∞ then the sequence {Xn}
is said to converge to X in the mean square sense.
5. Convergence in distribution
If
Fn (x) and F(x) are the distribution functions of Xn and X respectively such
that Fn (x) F(x) as n → ∞ for every point of continuity of F(x), then the
sequence {X} is said to converge to X. in distribution.
Note:
Closely associated to the concept of convergence in distribution is a
remarkable result known as central limit theorem, which is given below without
proof.
6. Central limit theorem (Liapounoff's Form)
If
X1, X2, ... Xn be a sequence of independent
RVs with E(Xi) = µi and Var (Xi) = σ2i,
i = 1, 2, ... n and if Sn = X1 + X2 + ... + Xn then under certain general
conditions, Sn follows a normal distribution with mean

7. Central limit theorem (Lindberg-Levy's form)
[A.U
A/M 2019 (R17) PQT]
If
X1, X2, ... Xn be a sequence of independent
identically distributed RV's with E (Xi) = μ and Var (Xi)
= σ2, I = 1, 2, … n and if Sn = X1 + X2 + ... + Xn,
then under certain general conditions, Sn follows a normal distribution
with mean nu and variance n σ2 as n→ ∞.
8. Corollary

9. Normal area property
The
normal variable 'Z' is defined as Z = X – μ / σ
Note
that E(Z) = 0; V(Z) = 1. The std. normal distribution is

10. Uses of Central Limit Theorem
(1)
It is very useful in statistical surveys for a large sample size. It helps to
provide fairly accurate results.
(2)
It states that almost all theoretical distributions converge to normal
distribution as n→ ∞
(3)
It helps to find out the distribution of the sum of a large number of
independent random variables.
(4)
It also helps explain the remarkable fact that the emprical frequencies of so
many natural populations exhibit bell shaped (i.e. normal) curves. [(0)4.8.s
olqmaxi
Theorem
:
Show
that the central limit theorem holds good for a sequence {Xk}, if
P{Xk
= ± Kɑ } = 1/2 XK -2α, P{Xk = 0} = 1 − K -2α,
ɑ < 1/2
Proof:
We have to verify that the condition given in the above note is satisfied by
the given sequence { Xk}.

(i.e.,) the necessary condition is satisfied.
Therefore CLT holds good for the sequence {Xk}.
TYPE
1:
If the average of random variables follows Normal distribution,

Probability and complex function: Unit II: Two dimensional random variables : Tag: : Two dimensional random variables - Central limit theorem
Probability and complex function
MA3303 3rd Semester EEE Dept | 2021 Regulation | 3rd Semester EEE Dept 2021 Regulation