We had already seen in the previous sections how to calculate the real and reactive power at sending end and at the receiving end mathematically. Now we will see how to represent characteristics of transmission line graphically.
Circle Diagram.
We had already seen in the previous
sections how to calculate the real and reactive power at sending end and at the
receiving end mathematically. Now we will see how to represent characteristics
of transmission line graphically. By taking either VS,VR,IS
or IR as a reference these characteristics can be plotted. These
characteristics are nothing but representing circles. Hence such diagrams are
called circle diagram. A circle diagram is drawn with real power P on X-axis
and Q on Y axis on complex plane. The circle diagram can be drawn at the
sending end as well as at the receiving end.
These diagrams are helpful for determination of active power P, reactive power Q, power angle δ, power factor for given load conditions, voltage conditions and impedance Z of the line.
Receiving End Circle Diagram :
The complex power at the receiving end
is given by,

This complex power can be plotted in the complex plane with horizontal and vertical components having the units of powers. This is shown in Fig. 2.15.1.

The real component of (PR +jQR)
is,
PR = |VR| |IR|
COS θR where θR is p.f. at the receiving end
The imaginary component of (PR
+jQR) is,
QR = |VR| |IR|
sin θR
Here θR is the phase angle by which IR lags behind VR . By convention we will consider that inductive load draws positive reactive power.
Now if the same phasor diagram shown in
Fig. 2.15.1 is redrawn with the origin of the co-ordinates axes shifted, then
the resultant figure is shown in Fig. 2.15.2.

Now we will show that the locus of
operating point is a circle with centre at O. For this consider the phasor
diagram shown in Fig. 2.15.4. (Refer Fig. 2.15.4 on 2-78).
It can be shown that for constant values
of VR and V s and for variable values of IR, the point G moves on a circle with
centre O.
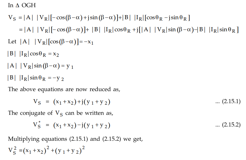
In Δ OGH

The above equation represents a circle
with its centre at O and having co-ordinates (-x1,-y1)
All the phasors shown in Fig. 2.15.3
represent voltage. In order to represent them as volt amperes, multiply each phasor
by constant VR/B which resperents a current phasor because B has
dimensions of impedance.

The co-ordinates of the centre of the
receiving end circle are given as

The θR is the phase angle by
which VR leads IR. The position of point O is independent
of load current IR and will not change as long as |VR| is constant.
Further more if values of VS and VR are constant then
distance OG remains constant. Now with change in load, the distance between
points H and G goes on changing. As the values of VS andVR
are fixed, distance between points O and G remains same which constrain point G
to move on a circle with centre at O and radius as OG. In order to keep point G
on the circle it is required that with change in PR,QR
should also change.
If values of sending end voltages are
changed then for same values |V R | the position of point O is
unchanged but a new circle with different radius is obtained.
With constant receiving end voltage,
different circles can be obtained for different values of sending end voltages.
The circles so obtained are concentric circles as the location of centre of
receiving end power circle is independent of sending end voltage.
Number of concentric circles can be
obtained for a constant receiving end voltage. This is shown in Fig. 2.15.4.

From the Fig. 2.15.4, it can be seen
that there is limit to the power that can be transmitted to the receiving end
of the line for various magnitudes of sending and receiving end voltages. An
increase in power delivered means that point G will move along the circle until
the angle β - δ is zero, us so long as δ = β, maximum power is
delivered. With further increase in δ, results in less power at receiving end.
The equation for maximum power is given by,

As shown in the Fig. 2.15.5 if a
vertical line is drawn from x on circle with sending end voltage |VS3 | to the
point y on circle with sending end voltage |V S2| then distance xy
represents the amount of negative reactive power that must be drawn by
capacitors added in parallel with the load to maintain constant |V R
| when sending end voltage is reduced from |V S3| to |V S2|.

Thus circle diagram helps us to study
various aspects of power transmission at sending end and receiving end. From
the receiving end power circle diagram, PR,QR and angle δ
for any point on the circle can be determined.
For a short transmission line with series
impedance per phase as Z ∠
θ l.
For a short line

The circle diagram is as shown in Fig. 2.15.6

In this section we will consider the
general procedure for drawing circle diagram at receiving end with
considerations of various conditions.
Normally in 3 phase system, 3 phase
power is specified and the voltage is line to line. The procedure for drawing
circle diagram is based on phase quantities.
1) PR is the receiving end
power and VR is line to line voltage.
PR phase = PR /
3, VR phase = VR
/ √3
2) Calculate | A | |VRph|2 / | B |
3) By checking values of PRph
and | A | |VRph|2
/ | B | decide suitable scale.
4) Draw horizontal and vertical axes and
fix the centre of the circle whose co-ordinates are given as

Draw line OO1 as shown in
Fig. 2.15.7.

5) From point O1 draw a load
line subtending an angle of θR. Reduce PRph to scale and
cut the horizontal line at point M. Draw the vertical line from this point
which will cut the slanted line at L. Thus the operating point L is obtained.
6) Now join OM which is radius of the
circle. Convert it by using scale to MVA or kVA
OM × Scale = | VS | | VR
| / | B |
From above equation |VS| can
be obtained. The phase value of VS is obtained. Multiply it by √3 to
get line to line value for VS. This part describes the unregulated
system where VS can take any value depending on load condition.
In a regulated system, the receiving end
and the sending end voltage is kept same by installing some reactive power
injecting device at receiving end.
Under this condition first four steps
are repeated. The radius of new circle is |VS| |VR| / | B
| and with scale draw a circle with same centre.
This arc can intersect ML at any one of
three positions of L' as shown in Fig. 2.15.7. i.e. above L, in between L and
horizontal or below the horizontal line. If L' is above L, the phase modifier
is said to be underexcited. The capacity of the phase modifier in all three
cases is L L'. The VAR requirements of load are fixed and are equal to LM.
In underexcited condition, the VARs
transmitted over the line are L'M. The transmission line has to transmit VARs
required by load as well as supply VARs to phase modifier also which is equal
to LL' i.e. phase modifier takes lagging VARs from the system which corresponds
to underexcited condition.
When L' lies between L and M, VARs
required by load, LL' is supplied by phase modifier and L' M have to be
transmitted over the line. The phase modifier is overexcited.
When L' is below horizontal axis, the
capacity of phase modifier is LL'. Here the phase modifier supplies VAR
requirements of load (LM) as well as sup plies L' M VARs to the transmission
line. The phase modifier is overexcited.
The power factor of load is fixed and is
given by cos 0 R. If point L' lies above horizontal axis p.f. is lagging and if
it lies below horizontal axis it is leading. NP gives the maximum power.
Example 2.15.1
A 3 phase overhead, line has resistance and reactance per phase of 6 Ω and
20 Ω respectively. The load at the receiving end is 25 MW, 33 kV at 0.8 p.f.
lagging. Find the voltage at the sending end by drawing receiving end power
circle diagram.
AU : Oct.-98, Marks 15
Solution. :
As the capacitance of the line is neglected, the line is treated as short
transmission line so the ABCD constants will be

Let scales selected be
1 cm = 2 MW on horizontal axis
1 cm = 2 MVAR on vertical axis
So that we have 1 cm - 2 MVA
Steps for drawing the receiving end
power circle diagram
1) Locate centre O with co-ordinates as
given above.
2) Draw load line at an angle θR
= cos-1 0.8 = 36.8° to the horizontal and cut it at P such that

Review Questions
1. Draw and explain how receiving end power circle is
found.
2. Explain various steps involved in receiving end power
circle diagram, with neat sketches.
3. Write note on receiving end circle diagram.
Transmission and Distribution: Unit II: (a) Modelling and Performance of Transmission Lines : Tag: : Procedure to Draw Receiving - Circle Diagram
Transmission and Distribution
EE3401 TD 4th Semester EEE Dept | 2021 Regulation | 4th Semester EEE Dept 2021 Regulation