Consider two coils of self inductances L1 and L2. Let M be the mutual inductance between them. These two coils can be connected in the following two ways: 1. Series connection, 2. Parallel connection
COMBINATION OF CONDUCTIVELY CONNECTED MUTUALLY COUPLED COILS
Consider
two coils of self inductances L1 and L2. Let M be the
mutual inductance between them. These two coils can be connected in the following
two ways:
1.
Series connection,
2.
Parallel connection
Again,
series connection can be (a) series aiding or cumulative and (b) series
opposition or differential. Similarly, the parallel connection can be (a)
parallel aiding or cumulative and (b) parallel opposition or differential.

Refer
fig. 5.32 (a), the current is entering both the coils at the dotted terminal.
So, it is called series aiding combination. For this circuit, we can write that
Let
Lɑ be the equivalent inductance of the combination shown in fig.
5.25 (a),
Then
Lɑ × di / dt = v (t) ... (27)
From
equations (26) & (27), we can obtain that,
Lɑ
= L1 + L2 + 2M
... (28)
Refer
fig.5.32 (b), the current is entering first coil at dotted terminal and leaving
the other coil at dotted terminal. So the mesh equation for this circuit is

Let
L be the equivalent inductance of the combination shown in fig. 5.32 (b),
Then
Lb di/dt = v (t) ... (30)
From
equations (29) & (30), we find that
Lb
= L1 + L2 – 2M … (31)
[Note: Equivalent inductance in
the series aiding combination is more than that in series opposing combination
by an amount = 4M.]

Here,
both the currents i, and i2 enter the coils at the dotted terminals. Then, the
equations are
Li
di1 / dt + di2 / dt = v (t) ... (32)
and
M di1 / dt + L2 di2 / dt = v (t) ... (33)
Assume
that the excitations are sinusoidal for convenience. Then, the above equations
can be written as
jωL1I1
+ jωMI2 = V … (34)
and
jωMI1 + jωL2I2 = V ... (35)
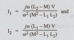
Solving
above equations for I1 and I2 , we get

Therefore,
the total current I = I1+ I2
I
= jω (L1 + L2 - 2M) V / ω2(M2 - L1
L2)
Therefore,
the input impedance = V / I
ω2(M2
- L1 L2) / jω (L1 + L2 - 2M)
= jω (L1 L2 – M2) / jω (L1 + L2
- 2M) … (36)
Let
La be the equivalent of the combination of inductances then
V
/ I = jω (Lɑ) … (37)
From
equations (36) & (37), we write that
Lɑ
= L1 L2 – M2 / L1 + L2 +
2M … (39)
[Note: On
observing equations (38) and (39), we can conclude that the equivalent
inductance in the parallel aiding is more than that in parallel opposition. It
is because the denominator of equation (38) is less than that of equation (39)]
Electric Circuit Analysis: Unit V: Resonance and coupled circuits : Tag: : - Combination of conductively connected mutually coupled coils
Electric Circuit Analysis
EE3251 2nd Semester 2021 Regulation | 2nd Semester EEE Dept 2021 Regulation