An integral along a simple closed curve is called a contour integral.
(c) Contour Integral
An integral along a simple closed curve is called a contour integral.
Note (2): In case of closed paths, the positive direction is anti-clockwise.
Note (3): If the direction of C is reversed (Clockwise), the integral changes its sign (i.e.,)

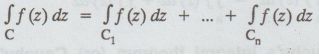
Note (4): If the contour is divided into two parts i.e., C1 and C2,

The evaluation of the line integral of the complex function is reduced to the evaluation of two line integrals of real functions.
Note (5): If C is a point on the arc joining a and b, then

[A.U N/D 2016 R-13] [Anna,
May 2002]
State and prove
Cauchy's integral theorem.
Statement:
If a function f(z) is analytic and its derivative f' (z) is continuous at all
points inside and on a simple closed curve C, then 
Proof:
Let the domain enclosed by C be denoted by R.
Let
f (z) = u (x,y) + iv (x,y)
z=
x + iy; dz = dx + idy

Since,
f' (z) is continuous, the four partial derivatives ∂u/ ∂x,
∂u/ ∂y
, ∂v/ ∂x
and ∂v/ ∂y
are also continuous in R and C.
Hence,
we can apply Green's theorem for a plane.

If
f (z) is analytic in the doubly connected regio. R bounded by two simple closed
curves C1 and C2, then

If
there are finite number of simple closed curves C1, C2,
... Cn inside C and f (z) is analytic in the region within the
regions between the curves C1, C2....Cn, then 
State and prove
Cauchy's integral formula. [Anna, Nov 1996]
Statement:
If f (z) is analytic inside and on a closed curve C of a simply connected
region R and if 'a' is any point within C, then
the integration around C being taken in the positive direction.
Proof:
Since, f (z) is analytic inside and on C.
f(z)
/z – a is also analytic inside and on C, except at the point z = a.
Hence,
we draw a small circle y with centre at z = a and radius p lying entirely
inside C.
Now,
f(z) /z – a is analytic in the region enclosed between C and y.
Hence,
by Cauchy's extended theorem.

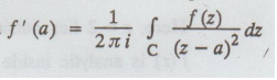
Statement: If a function f (z) is analytic within and on a simple closed curve C and 'a' is any point lying in it, then

Proof:
Cauchy's integral formula is

Probability and complex function: Unit IV: Complex integration : Tag: : Statement, Proof | Complex integration - Contour Integral
Probability and complex function
MA3303 3rd Semester EEE Dept | 2021 Regulation | 3rd Semester EEE Dept 2021 Regulation