• Now we analyse the effect of negative feedback on lower cut-off and upper cut-off frequency of the amplifier.
Cut-off Frequencies and Bandwidth with Feedback
AU
: May-04, 05, 10, 13, Dec.-04
We
know that, Af = A / 1 + β A
Using
this equation we can write,

•
Now we analyse the effect of negative feedback on lower cut-off and upper
cut-off frequency of the amplifier.
Lower
cut-off frequency
•
The lower cut-off frequency with feedback is given as,
fLf
= fL / 1 + Amid β ...
(9.7.4)
•
From equation (9.7.4), we can say that lower cut-off frequency with feedback is
less than lower cut-off frequency without feedback by factor (1 + Amid P).
Therefore, by introducing negative feedback low frequency response of the
amplifier is improved.
Upper
cut-off frequency
•
The upper cut-off frequency with feedback is given as
fHf
= (1 + Amid β ) fH ... (9.7.5)
•
From equation (9.7.5), we can say that upper cut-off frequency with feedback is
greater than upper cut-off frequency without feedback by factor (1 + Amid P).
Therefore, by introducing negative feedback high frequency response of the
amplifier is improved.
Bandwidth
•
The bandwidth of the amplifier is given as
BW
= Upper cut-off frequency- Lower cut-off frequency
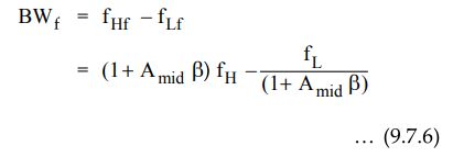
Bandwidth
of the amplifier with feedback is given as

•
It is very clear that (fHf - fif)> (fH - fL) and hence bandwidth of
amplifier with feedback is greater than bandwidth of amplifier without
feedback, as shown in Fig. 9.7.1.

Important
Concept
Since
bandwidth with negative feedback increases by factor (1 + Aβ) and gain
decreases by same factor, the gain-bandwidth product of an amplifier does not
altered, when negative feedback is introduced.
Review Questions
1. Compare the frequency response characteristics of an
amplifier with and without negative feedback.
AU : ECE ; May-04, Marks 8
2. 'The gain bandwidth product of an amplifier is not altered,
when negative feedback is introduced'. Justify the statement.
AU : ECE : Dec.-04, Marks 5
3. Discuss the effects of negative feedback on the frequency
response of an amplifier.
AU : ECE : May-05, Marks 8
4. Explain how negative feedback acts on bandwidth of a circuit.
AU : ECE : May-10, 13, Marks 2
Electron Devices and Circuits: Unit V: (a) Feedback Amplifiers : Tag: : Feedback Amplifiers - Cut-off Frequencies and Bandwidth with Feedback
Electron Devices and Circuits
EC3301 3rd Semester EEE Dept | 2021 Regulation | 3rd Semester EEE Dept 2021 Regulation