Here we have three types of circuits. In each case the voltage applied (excitation) is assumed to be step voltage denoted by Eu (t). u (t) is the unit step voltage.
DC TRANSIENTS
Here
we have three types of circuits. In each case the voltage applied (excitation)
is assumed to be step voltage denoted by Eu (t). u (t) is the unit step
voltage.
1.
(a) Case 1: (a) R-L Transients: (Rise of Current)

Let
the R – L series combination
be impressed upon the d.c. voltage E by closing the switch K. Assume that the
current through the inductor before closing the switch is zero. Let K be closed
at the instant t = 0.
The
equivalent circuit at t=0+ is shown in fig. 3.3 (b). The inductor is shown as
open circuit. Hence i (0-) = i(0+) = 0.
Applying
KVL to the circuit in fig. 3.3 (a), after t seconds of closing K,
we
get, Ri + L di / dt = E … (15)
Taking
Laplace Transformation on both sides, we get

Steady
current is thevalue of I (t) for t = ∞
L/R
is called time constant of the RL circuit and is denoted by T.
Hence
equation (19) can be written as
I
= I [I – e –t/T] … (20)
The
above equation shows that as t increases i increases exponentially. At t = ∞,
the current reaches steady state value I = E / R.
The
transient voltage eR and eL across R and L respectively,
during the rise of current in the inductive can be expressed as below:

From
the above expression, we can say that the voltage across R increases
exponentially from zero to E, during rise of current.

It
shows that the voltage across L decreases with time, exponentially
[Note:
eL = - L di / dt]
The
variation of i (t) with time is graphically shown in fig. 3.4 (a) and that of in
fig. 3.4 (b).

Definition
of time constant T for RL circuit
Substituting
T = t in equation (20), we get
i
= I (1 – e-1)
=
0.632 I
=
63.2% of I
Thus
the time constant of RL series circuit is defined as the period during which
the current rises to 63.2% of its final value (OR steady value).
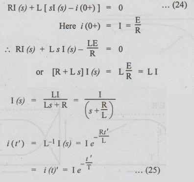
(b)
RL-Decaying Transients

Assume
that the switch K is kept connected to position 1 for sufficiently longer
period. Then the current reaches steady state value given by I = E / R. After this instant, let the switch be
moved from position 1 to position 2. Let this instant be taken as t = 0. After
t' seconds of closing the switch to position, applying KVL,
Ri+
L di / dt’ = 0 … (23)
Taking
Laplace Transformation on both sides, we get

Thus
i decays exponentially from I to zero, as t' increases from zero to infinity.
The variation of i (t') with t' is graphically shown in fig. 3.6.

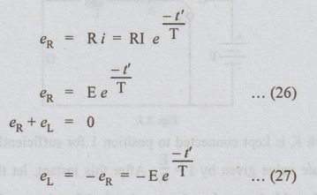
Decaying
current in an R - L circuit.

The
variation of er and e, with t' is graphically shown in fig. 3.7.

Electric Circuit Analysis: Unit III: Transient Response Analysis : Tag: : Transient Response Analysis - DC transients
Electric Circuit Analysis
EE3251 2nd Semester 2021 Regulation | 2nd Semester EEE Dept 2021 Regulation