• During forward biased condition, an another capacitance comes into existence called diffusion capacitance or storage capacitance, denoted as CD
Diffusion Capacitance
AU
: May-03, 06, 07, 16, 17, Dec.-03, 07
•
During forward biased condition, an another capacitance comes into existence
called diffusion capacitance or storage capacitance, denoted as CD.
•
In forward biased condition, the width of the depletion region decreases and
holes from p side get diffused in n side while electrons from n side move into
the p side. As the applied voltage increases, concentration of injected charged
particles increases. This rate of change of the injected charge with applied
voltage is defined as a capacitance called diffusion capacitance.
CD
= dQ / dV ...(1.12.1)
•
The diffusion capacitance can be determined by the expression,
CD = τI / η VT ...(1.12.2)
where
τ = Mean life time for holes.
•
So diffusion capacitance is proportional to the current. For forward biased
condition, the value of diffusion capacitance is of the order of nano farads to
micro farads while transition capacitance is of the order of pico farads. So CD
is much larger than CT.
•
However in forward biased condition, CD appears in parallel with the
forward resistance which is very very small. Hence the time constant which is
function of product of the forward resistance and CD is also very
small for ordinary signals.
Key
Point : Hence for normal signals CD has no
practical significance but for fast signals CD must be considered.

•
The graph of CD against the applied forward voltage is shown in the
Fig. 1.12.1.
•
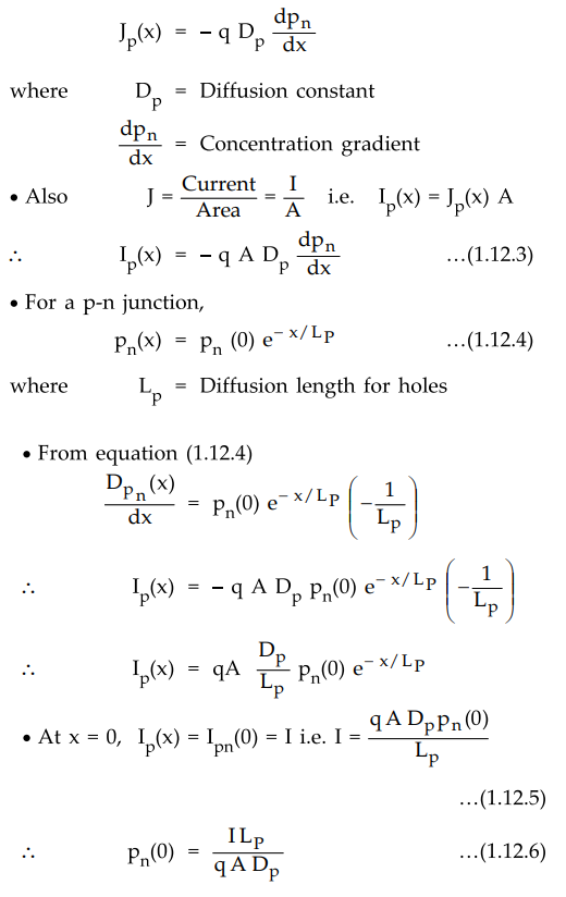
In a p-n junction the total current at the junction (x = 0) is given by,
I
= Ipn (0) + Inp (0) A
where
Ipn(0) = Current due to holes diffusing from p to n side
Inp(0)
= Current due to holes diffusion from n to p side
•
Let p side is heavily doped with respect to other hence Inp(0) is negligible
compared to Ipn(0).
•
I = Ipn (0)
•
The diffusion current density is given by,

•
The excess minority Q xists only on n side and given by,

CD
= τ I / ηVT = Diffusion capacitance
Review Questions
1. Explain the origin of diffusion capacitance and discuss its
importance.
AU : May-03, 06. 07, 16, Dec.-03, 07, Marks 8
2. Derive the expression for diffusion capacitance of PN
junction diode.
Electron Devices and Circuits: Unit I: PN Junction Devices : Tag: : PN Junction Diode - Diffusion Capacitance
Electron Devices and Circuits
EC3301 3rd Semester EEE Dept | 2021 Regulation | 3rd Semester EEE Dept 2021 Regulation