Probability and complex function: Unit I: Probability and random variables : Formula
FORMULA

Note
:
1.
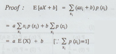
Prove that E(ax + b) = a E(X) + b.

2.
If X is a random variable then show that Var(aX+b) = a2 Var (X)
Proof
:
Let
Y = aX + b
E(Y)
= E[aX + b]
We
know that, E[aX + b] = a E[X] + b
Y
- E(Y) = (ax + b) - a E(X) – b
Y
- E(Y) = aX - aE(X)
Y
- E(Y) = a [X - E(X)]
[Y - E(Y)]2 = a2 [X - E (X)]2
Var(Y)
= a2 Var(X)
i.e.,
Var(ax + b.) = a2 Var(X)
3.
P[X = xi] = p(x)
→
Probability function (or) Probability distribution (or) p.m.f (probability mass
function)
4.
f (x) → p.d.f (probability density function) (or) density function.
5.
F(x) → c.d.f (cumulative distribution function) (or) distribution function.
Problems
under the distribution function for discrete random variable
Example
1.4.1
[Given P (xi) to find F (xi) type]
For
the following probability distribution (i) Find the distribution function of X.
(ii) What is the smallest value of x for which P(X ≤ x) > 0.5

Solution:
(i)

(ii)
The smallest value of x for which P (X ≤ x;) > 0.5 is 1.
Note
:
The smallest value of x for which P (X ≤ x) > 0.1 is 0 and
The
smallest value of x for which P (X ≤ x;) > 0.8 is 2.
Example
1.4.2
[Given
F (xi) to find P (xi) type]
Obtain
the probability function (or) probability distribution from the following distribution
function.

Solution
:
To
Find P(xi)

Example
1.4.3
The
number of hardware failures of a computer system in a week of operations has
the following pmf: [A.U. M/J 2006]

Find
the mean of the number of failures in a week.
Solution
:

Example
1.4.4
Determine
the mean, variance, E[(2X+1)], Var(2X+1) of a discrete random variable X given
its distribution as follows:

Solution
:

Example
1.4.5
The
monthly demand for Allwyn watches is known to have the following probability
distribution.

Determine
the expected demand for watches. Also compute the variance. [A.U. N/D 2006]
Solution
:
Let
X denote the demand

Example
1.4.6
When
a die is thrown, X denotes the number that turns up. Find E (X), E (X2) and var
(X2). [A.U. M/J 2006, A.U N/D 2019 (R17) PS]
Solution
:
X is a discrete random variable taking values, 1, 2, 3, 4, 5, 6 and with
probability for each

Example
1.4.7
Determine
the constant K given the following probability distribution of discrete random
variable X. Also find mean and Variance of X.

Example
1.4.8
If
X has the distribution function

Find
(1)
The probability distribution of X.
(2) P (2 < X < 6)
(3) Mean of X
(4)
Variance of X.
[A.U.
A/M. 2008]
Solution:
(1)
The probability distribution of X.

Example
1.4.9
A
random variable X has the following probability distribution.

[A.U. N/D 2007, M/J 2009, A.U CBT M/J 2010]
[A.U N/D 2011]
Find
(1)
The value of k,
(2)
Evaluate P(X < 2) and P(-2 < X < 2)
(3)
Find the cumulative distribution of X and
(4)
Evaluate the mean of X.
Solution
:

Example
1.4.10
A
discrete random variable X has the following probability distribution.

[A.U
CBT N/D 2011, Trichy M/J 2011]
(i)
Find the value of a.
(ii)
Find P(X < 3), P(0 < x < 3), P(X ≥ 3)
(iii)
Find the distribution function of X.
Solution
:

Example 1.4.11
A random variable X has the
following probability function:

(a) Find K
[A.U N/D 2010, M/J 2012, M//J 2014] [A.U A/M 2015 R-8]
(b) Evaluate P[ X < 6], P[ X ≥
6]
(c) If P [ X ≤ C ] > 1/2, then find the
minimum value of C.
(d) Evaluate P [1.5 < X <
4.5/X > 2]
(e) Find P [X < 2], P[X > 3],
P[1 < X < 5]
[A.U M/J 2007, N/D 2008] [A.U. Tvli
A/M 2009]
Solution: (a)
We know that,

i.e.,
0 + K + 2K + 2K + 3K + K2 + 2K2 + 7K2 + K = 1
i.e.,10
K2 + 9K – 1 = 0
=
K= -1 or K = 1/10
Since,
P(X) ≥ 0 the value K = -1 is not permissible
Hence,
we have K = 1/10

(b) (i) P[X ≥ 6] = P[X = 6] + P [X = 7]
=
2/100 + 17/100 = 19/100
(ii) P(X < 6] = 1- P [X ≥6]
=
1- 19/100 = 81/100
(c)

The
minimum value of C = 4. [ P [ X ≤ C ]> 1/2]
(d) P [1.5 < X < 4.5/X > 2]

=
P[2 < X < 4.5] / 1 – P (X ≤ 2]
=
P(3) + P(4) / 1- [P (0) + P(1) + P (2)]
=
2 /10 + 3/10 / 1- [0 + 1/10 + 2/10 ] = 5/10 / 1- 3/10 = 5/10/ 71/0 = 5/7
(e) (i) P (X < 2) P [X=0] + P(X = 1] = 0+ K
= K = 1/10
(ii)
P (X > 3) = 1 - P(X ≤ 3)
=1-
[P (X = 0) + P (X = 1) + P (X = 2) + P (X = 3)]
=
1- [0 + K + 2K + 2K]
=
1- 5K = 1- 5/10 = 1 – ½ = 1/2
(iii) P (1 < X < 5) = P (X = 2) + P(X =
3) + P(X = 4)
= 2K + 2K + 3K = 7K = 7/10
Example 1.4.12
A random variable 'X' has the
following probability function :

Find k, P [X3] and P (0 < x <
4) [A.U. Tvli. A/M 2009]
Solution :
(i) We know that, 
(i.e.,) k + 3k + 5k + 7k + 9k = 1
25
k = 1 ⇒ k = 1/25
(ii) P (X ≥ 3) = P (X = 3) + P (X = 4)
=
7k + 9k = 16 k = 16 (1/25) = 16/25
(iii) P (0 <X< +) = P(X = 1) + P (X = 2)
+ P(X = 3)
=
3k+ 5k + 7k = 15k
=
15 (1/25) = 3/5
Example 1.4.13
Let X be a random variable such
that P (X = -2) = P (X = -1) = P (X = 1) = P (X = 2) and P (X < 0) = P(X =
0) = P (X>0). Determine the probability mass function and the distribution
of X. [AU N/D 2006]
Solution :
Given:
P
[X < 0] = P[X = 0] = P [X > 0]X...
(1)
P
[X = -2] = P[X=1] = P [X = 1] = P [X = 2] ... (2)
Let
P [X = -2] = P [X = -1] = P [X = 1] = P
[X = 2] = a
We
know that,
P[X
< 0] = P [X = -2] + P [X = -1] = a + a = 2a
(1) => P [X < 0] = P [X = 0] = P [X >
0] = 2a

Example 1.4.14
If the random variable X takes the
values 1, 2, 3 and 4 such that 2P (X =
1) = 3P (X = 2) = P (X = 3) = 5P (X = 4) find the probability distribution and cumulative distribution
function of X.
[A.U CBT A/M 2011, A.U N/D 2012, A.U A/M 2017
R8] [A.U A/M 2019 (R13) PQT] [A.U A/M 2015 (RP) R8]
Solution:
X is a discrete random variable, doue sidshay
Given
: 2P [X = 1] = 3P [X = 2] = P [X=3] = 5P [X = 4]
Let
2P [X = 1] = 3P (X = 2] = P(X = 3] = 5P (X = 4] [X = 2] = k ....(1)

We
know that, 
i.e.,
k/2 + k/3 + k + k/5 =1
61/30k
= 1 ⇒ k = 30/61

Example 1.4.15
The probability function of an
infinite discrete distribution is given by P[X = j] =1/2j , j = 1,
2, ∞. Find the mean and variance of the distribution. Also find P[X is even], P
[X≥ 5] and P[X is divisible by 3]. [A.U. N/D 2006] [A.U N/D 2011]
Solution:
Given: P[ X = j] = 1/2j = (1/2)j

FORMULA
(1-x)-2 = 1 = 2x = 3x2 + ...
(1-x)-3
= ½ [ 1.2 + 2.3x+ 3.4x2 + ...]
Variance
of X = Var(X) = E [X2] - [E[X]]2
=
6 - (2)2 = 6 - 4 = 2
(1)
P[X is even] = P[X 2] + P(X = 4] + ...
=
(1/2)2 + ( ½)4 + (1/2)6 +....
=
¼ + (1/4)2 + (1/4)3 +....
=
( 1 – x )-1 - 1 , Here , x = ¼ [ (1 - x)-1 = 1 + x + x2
+....]
=
(1-1/4)-1 – 1 = (3/4)-1 -1 = 4/3 -1 = 1/3
(2) P [X ≥ 5] = P(X = 5] + P (X = 6] + ...
=
(1/2)5 + (1/2)6+....
=
(1/2)5 [ 1 + (1/2) + (1/2)2 + ....]
=
(1/2)5 [1 – x ]-1 Here x= 1/2
=
(1/2)5 [1- 1/2]-1 = (1/2)5 (1/2)-1
= 1/24 = 1/16
(3) P[X is divisible by 3] (or) P[X is
multiple of 3]
=
P [X = 3] + P [X = 6] +....
=
(1/2)3 +(1/2)6 + (1/2)9 +....
= 1/8 + (1/8)2 + (1/8)3 +....
= ( 1 – x )-1
-1 , Here x = 1/8
= (1 - 1/8)-1 -1 = (7/8)-1
= 8/7 -1= 1/7
Example 1.4.16
If Var(X) = 4, then find Var( 3X +
8), where X is a random variable. [A.U, Model] [A.U Tvli M/J 2011]
Solution : We
know that, Var(ax + b) =a2 Var(X)
Var(3X
+ 8) = 32 Var(X)
=
32 [4] = 36
Example 1.4.17
Let X be a Random Variable with
E(X) = 1 and E [X (X-1)] = 4. Find Var X and Var (2-3X), Var [X/2] [A.U. May,
2000], [A.U. A/M. 2008]
Solution:
Given:
E(X) = 1, E[X (X-1)] = 4
E[X
(X-1)] = E (X2 - X] = E[X2] - E[X]
4
= E(X2) - 1
E
(X2) = 4 + 1 = 5
Var
X = E (X2) - [E(X)]2
=
5 - 1 = 4
Var
(2 - 3X) = (-3)2 Var X [ Var
( aX±b) = a2 Var X ]
=
9 (4) = 36
Var
[X/2] = (1/2)2 = ¼ [4] = 1
Example 1.4.18.
If the probability mass function of
a r.v. X is given by P (X = r) = kr3, r = 1, 2, 3, 4 find
(i) the value of k,
(ii) the mean and variance of X and X [A.U.
A/M 2015 (RP) R13]
(iii) the distribution function of
X
(iv) P ( ½ < X < 5/2 / X >
1) [A.U Tvli. M/J 2010]
Solution :
(i) We know that, 
(ii) & (iii) Given: P (X = r) = kr3,
r = 1, 2, 3, 4

E
[X] = Σxi p (xi) =
3.54/100 = 3.54
E
[X2] = Σxi2 p (xi) = (1300) (1/100)
= 13
Var(X) = E (X2) - [E (X)]2
=
13 [3.54]2 = 13 - 12.5316 = 0.4684

Probability and complex function: Unit I: Probability and random variables : Tag: : - Discrete random variable: Formula, Solved Example Problems
Probability and complex function
MA3303 3rd Semester EEE Dept | 2021 Regulation | 3rd Semester EEE Dept 2021 Regulation