Then mathematically divergence is defined as the net outward flow of the flux per unit volume over a closed incremental surface.
Divergence
AU
: May-04, 06, 16,18, Dec.-04, 07, 10, 13, 14,18
•
It is seen that
gives the flux flowing across the surface S. Then
mathematically divergence is defined
as the net outward flow of the flux per unit volume over a closed incremental
surface. It is denoted as div
and given by,

where Δv = Differential volume element
Key Point : Divergence
of vector field
at a point P is the outward flux per unit volume as the
volume shrinks about point P i.e. lim Δv ^0 representing differential volume
element at point P.
•
Symbolically it is denoted as,

•
Similarly divergence in other co-ordinate systems are,

•
Physically divergence at a point indicate how much that vector field diverges
from that point.
•
Consider a solenoid i.e. electromagnet obtained by winding a coil around the
core. When current passes through it, flux is produced around it. Such a flux
completes a closed path through the solenoid hence solenoidal field does not
diverge. Thus mathematically, the vector
field having its divergence zero is called solenoidal field.

•
Let
be the flux density vector then, the divergence of the vector flux
density
is the outflow of flux from a small closed surface per unit
volume as the volume shrinks to zero.
•
The divergence of
at a given point is a measure of how much the field
represented by
diverges or converges from that point. If the field is
diverging at point P of vector field
as shown in the Fig. 1.15.1 (a),
then divergence of
at point P is positive. The field is spreading out
from point P. If the field is converging at the point P as shown in the Fig.
1.15.1 (b), then the divergence of
at the point P is negative. It is
practically a convergence i.e. negative of divergence. If the field at point P
is as shown in the Fig. 1.15.1 (c), so whatever field is converging, same is
diverging then the divergence of
at point P is zero.

•
Practically consider a tube of a vehicle in which air is filled at a pressure.
If it is punctured, then air inside tries to rush out from a tube through a
small hole. Thus the velocity of air at the hole is greatest while away from
the hole it is less. If now any closed surface is considered inside the tube,
at one end velocity field is less while from other end it has higher value, as
air rushes towards the hole. Hence the divergence of such velocity inside is
positive. This is shown in the Fig. 1.15.2 (a) and (b).
•
As seen from the Fig. 1.15.2 (b), the air velocity is a function of distance
and hence divergence of velocity is positive. The density of lines near hole is
high showing higher air velocity. The source of such velocity lines is
throughout the tube and hence anywhere inside the tube, at any point the
divergence is positive.
•
If there is a hollow tube open from both ends then air enters from one end and
passes through the tube and leaves from other end. This is shown in the Fig.
1.15.2 (c). The velocity of air is constant everywhere inside the tube. In such
a case the divergence of the velocity field is zero, inside the tube

.•
A positive divergence for any vector quantity indicates a source of that vector quantity at that point. A negative divergence
for any vector quantity indicates a sink
of that vector quantity at that point. A zero divergence indicates there is
no source or sink exists at that point.
•
In short, if more lines enter a small volume than the lines leaving it, there
is positive divergence. If more lines leave a small volume than the lines
entering it, there is negative divergence. If the same number of lines enter
and leave a small volume, the field has zero divergence. Note that the volume
must be infinitesimally small, shrinking to zero at that point, where
divergence is obtained.
•
As the result of divergence of a vector field is a scalar, the divergence
indicates how much flux lines are leaving a small volume, per unit volume and
there is no direction associated with the divergence.
•
The various properties of divergence of a vector field are,
1.
The divergence produces a scalar field as the dot product is involved in the
operation. The result does not have direction associated with it.
2.
The divergence of a scalar has no meaning. Thus if m is a scalar field then
m has no meaning. Note that
operator can operate on scalar field but dot
product i.e. divergence of a scalar has no meaning.
3. 
Ex. 1.15.1 Determine the divergence of these
vector fields.
AU: Dec.-07, Marks 10, Dec.-13, Marks 8

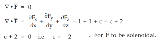
Ex. 1.15.2
Determine the constant c such that
will be solenoidal. AU : May-06,
Marks 6
Sol. :
For a field to be a solenoidal,

Examples for Practice

Review Questions
1. Write note on
divergence. AU: Dec.-04, 10, 13, 14, May-04, 16,18, Marks 4
2. Write the
expression for divergence in three co-ordinates systems. AU: Dec.-18, Marks 3
Electromagnetic Theory: Unit I: (a) Vector Analysis : Tag: : Definition, Formula, Example, Physical Meaning, Properties, Example Problems - Divergence
Electromagnetic Theory
EE3301 3rd Semester EEE Dept | 2021 Regulation | 3rd Semester EEE Dept 2021 Regulation