• The equation (3.10.5) is called divergence theorem. It is also called the Gauss-Ostrogradsky theorem.
Divergence Theorem
AU
: Dec.-03, 05, 08, 11,12. 14, 16, May-04, 06. 07, 08, 12, 17
•
From the Gauss's law we can write,

• While the charge enclosed in a v

•
But according to Gauss's law in the point form,

Using
in equation (3.10.2),

Equating
equations V3.10.1) and (3.10.4),

•
The equation (3.10.5) is called divergence theorem. It is also called the
Gauss-Ostrogradsky theorem. The theorem can be stated as,
•
The integral of the normal component of any vector field over a closed surface
is equal to the integral of the divergence of this vector field throughout the
volume enclosed by that closed surface.
•
The theorem can be applied to any vector field but partial derivatives of that
vector field must exist. The equation (3.10.5) is the divergence theorem as
applied to the flux density. Both sides of the divergence theorem give the net
charge enclosed by the closed surface i.e. net flux crossing the closed
surface.
•
With the help of the divergence theorem, the surface integral can be converted
into a volume integral, provided that the closed surface encloses certain
volume. Thus volume integral on right hand side of the theorem must be
calculated over a volume which must be enclosed by the closed surface on left
hand side. The theorem is applicable only under this condition.
Points
to remember while solving problems.
1.
Draw the sketch of the surface enclosed by the given conditions.
2.
acts within the region bounded by given conditions towards the
various surfaces. Thus note the direction of surface with respect to region in
which
is given to give proper sign to the unit vector while defining
. For example, consider the region bounded by two planes as shown in
the Fig. 3.10.1. For surface 1, with respect to
in the region, dS is
in
direction. While for surface 2, with respect to
in the region,
dS is in
direction.

3.
Then evaluate
over all the possible surfaces.
4.
Evaluate
dv to verify the divergence theorem. Take care of
variables in the partial derivatives.
•
According to divergence theorem, the surface integral is converted into a
volume integral, provided that the closed surface encloses certain volume. Let
the closed surface encloses certain volume v. Subdivide this volume v into a
large number of subsections called cells. Let the vector field associated with
the surface S is
. Then if Ith cell has the volume Avi and
is bounded by the surface Si then we can write,

•
The cells are adjacent to each other hence the outward flux to one cell is
inward to its neighbouring cells. Thus on every interior surface between the
cells, there is cancellation of surface integrals and hence the sum of the surface
intergrals over surfaces Si s is equal to the total surface
integral
over the entire surface S.

•
Taking Lim Av tends to zero of right hand side i.e. as the volume shrinks about
a point, the right hand side of the equation (3.10.7) gives divergence of
, according to the definition of the divergence.

•
Using in the equation (3.10.7),

•
For considering entire volume, integrate right hand side over the entire volume
v, enclosed by the surface S.

•
The equation (3.10.8) is the statement of the divergence theorem and hence
divergence theorem is proved. The theorem is very effective as the evaluation
of volume integral is easier than to evaluate the surface integral.
Ex.
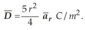
3.10.1 Given
. Evaluate both the sides of divergence theorem for
the volume enclosed by r = 4 m and θ = π / 4.
Sol.
:
The given
is in spherical co-ordinates. The volume enclosed is
shown in the Fig. 3.10.2.

According
to divergence theorem,

The
given
has only radial component as given.

Ex.
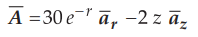
3.10.2 Given that
in the cylindrical co-ordinates. Evaluate
both sides of the divergence theorem for the volume enclosed by r = 2, z = 0
and z = 5.
Sol.
:
The divergence theorem states that

Ex.
3.10.3 If G(r) =
dtmin the flux of G(r) out of entire suface f
the cylinder r = 1, 0 ≤ z ≤ 1.
Sol.
: The cylinder is
shown in the Fig. 3.10.4.

There
are three surfaces = 0S1, S2 and S3 i.e. top,
curved and bottom.

Examples
for Practice
Ex.
3.10.4 In region r ≤ ɑ in spherical co-ordinates, 
Review Question
1. State and prove Divergence theorem.
Electromagnetic Theory: Unit I: (c) Gauss Law and Applications : Tag: : Statement, Proof, Equation, Solved Example Problems - Divergence Theorem
Electromagnetic Theory
EE3301 3rd Semester EEE Dept | 2021 Regulation | 3rd Semester EEE Dept 2021 Regulation