Condition for Maximum Efficiency - Current at Maximum Efficiency• In case of a d.c. generator, following three efficiencies are defined.
Efficiencies of a D.C. Machine
AU:
Dec.-07.09,15,19, May-09
• In case of a d.c. generator, following three efficiencies
are defined.
i) Mechanical
efficiency: It is the ratio of
total power generated in armature to the total mechanical power input to the
generator.

ii) Electrical
efficiency: It is the ratio of
total power supplied to the load to the total power generated in armature.

iii) Overall
or commercial efficiency: This is the
ratio of total power supplied to the load to the total mechanical power input
to the generator. This is called efficiency of a d.c. machine which is
generally obtained.

It can be seen that % η = % ηm × % ηe
The overall efficiency of a generator and motor are obtained
as,

Such three efficiencies can be defined for a d.c. motor
also.
In case of a d.c. generator the output is given by,

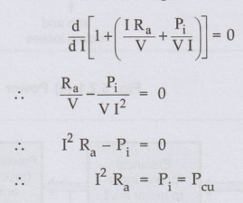
The efficiency is maximum, when the denominator is
minimum. According to maxima-minima theorem,

Thus for the maximum efficiency, the condition is,
Variable losses = Constant losses
The graph of losses and efficiency against load current
is shown in the Fig. 5.3.1.
2. Current at Maximum Efficiency
• From the condition of maximum efficiency, the current
through the d.c. machine at the time of maximum efficiency can be obtained.
• For shunt machines: The Ish is constant and
the loss VIsh is treated to be the part of constant losses. The
variable losses are Ia2Ra.
• At maximum efficiency, Ia2Ra
= Pi = (Stray + Shunt field losses)

• This is the armature current at maximum efficiency.
Neglecting Ish, Ia = IL is the line current of
the machine.
• For series machines: The current through series field
is same as armature current which is same as line current. Hence the constant
losses are only mechanical losses while the variable losses are the copper
losses in armature as well as series field winding due to the armature current.
At maximum efficiency,
Ia2 (Ra + Rse)
= Pi = Mechanical losses

Ia = √Pi /Ra + Rse
• Let us study now the various methods of testing the
d.c. motors from the losses and efficiency point of view.
Ex. 5.3.1 A 220 V, 12 kW, DC
shunt motor has a maximum efficiency of 90 % and a speed of 800 r.p.m. When
delivering 80 % of its rated output. The resistance of its shunt field is 80.
Determine the efficiency, speed when the motor draws a current of 70 A from
mains.
Sol.

Ex. 5.3.2 A 500 V series
motor takes current of 180 A to develop 80 kW. The armature and series field
resistances are 0.1 Ω and 0.04 Ω respectively. If the output is reduced to 40
kW, find the input current and efficiency.
Sol.:

Ex. 5.3.3 A DC shunt
motor rated 10 kW connected to 250 V supply is loaded to draw 35 A armature
current running at a speed of 1250 rpm. Given Ra = 0.5 Ω.
a) Determine
the load torque if the rotational loss is 500 W.
b) Determine
the motor efficiency if the shunt field resistance is 250
AU: Dec.-09,
19, Marks 8
Sol. :

Review Questions
1. Derive a condition
to obtain maximum efficiency for d.c. machine. AU: Dec.-07.15, May-09, Marks 4
2. A 400 V, d.c. shunt motor has an armature nib resistance of 0.4 Ω and shunt field resistance of 100 Ω . If the stray losses amount to 2000 W, what will be the efficiency when the motor takes 100 A from the mains? If the input current is lowered by 40 %, find the new losses and efficiency.
(Ans.: 4854.4 W ηm = 79.77%)
3. Define: i)
Electrical efficiency ii) Mechanical efficiency iii) Overall or commercial efficiency.
Derive the condition for maximum efficiency.
4. A 500 V series motor takes current of 180 A to develop 80 kW. The armature and series field resistances are 0.1 Ω and 0.04 Ω respectively. If the output is reduced to 40 kW, find the input current and efficiency.
(Ans.: 87.61 A, 91.31 %)
5. A 400 volts shunt motor develops an output of 18.5 kW when taking 22.5 kW. Field resistance is 200 ohms and armature resistance is 0.4 ohms. What is the efficiency and power input when output is 9 kW.
[Ans.: 74.107 %]
6. A 250 V, 15 kW shunt motor has a maximum efficiency of 90% and a speed of 750 r.p.m. when delivering 80% of its rated output. The resistance of its shunt field is 100 Ω Determine the efficiency and speed when motor draws a current of 80 A from the mains.
[Ans.:
88.91 %, 728.19 r.p.m.]
Electrical Machines: Unit III: b.Testing of D.C. Machines : Tag: : - Efficiencies of a D.C. Machine
Electrical Machines I
EE3303 EM 1 3rd Semester EEE Dept | 2021 Regulation | 3rd Semester EEE Dept 2021 Regulation