• It is known that the electric field intensity due to a point charge Q is given by,
Electric
Field Intensity due to Various Charge Distributions
•
It is known that the electric field intensity due to a point charge Q is given
by,

•
Let us consider various charge distributions.
•
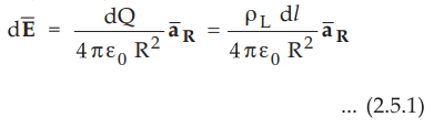
Consider a line charge distribution having a charge density ρL as
shown in the Fig. 2.5.1.

The
charge dQ on the differential length dl is,
dQ
= ρL dl
•
Hence the differential electric field d
at point P due to dQ is given by,

•
Hence the total
at a point P due to line charge can be obtained by
integrating d
over the length of the charge.

•
The
and dl is to be obtained depending upon the co-ordinate system
used.
•
Consider a surface charge distribution having a charge density ρS as
shown in the Fig. 2.5.2.

•
Hence the differential electric field d
at a point P due to dQ is given
by,

•
Hence the total
at a point P is to be obtained by integrating d
over the
surface area on which charge is distributed. Note that this will be a double
integration.

•
The
and dS to be obtained according to the position of the sheet of
charge and the co-ordinate system used.
•
Consider a volume charge distribution having a charge density p v as shown in
the Fig. 2.5.3.

•
The charge dQ on the differential volume dv is,
dQ
= ρv dv
•
Hence the differential electric field d
at a point P due to dQ is given
by,

•
Hence the total
at a point P is to be obtained by integrating d
over
the volume in which charge is accumulated. Note that this integration will be a
triple integration.

•
The
and dv must be obtained according to the co-ordinate system used.
•
Thus if there are all possible types of charge distributions, then the total
at a point is the vector sum of individual electric field intensities produced
by each of the charges at a point under consideration.

•
where
are the field intensities due to point, line, surface and
volume charge distributions respectively.
•
Let us discuss and learn the method of obtaining electric field intensities
under widely varying charge distributions.
Electromagnetic Theory: Unit I: (b) Coulombs Law and Electric Field Intensity : Tag: : - Electric Field Intensity due to Various Charge Distributions
Electromagnetic Theory
EE3301 3rd Semester EEE Dept | 2021 Regulation | 3rd Semester EEE Dept 2021 Regulation