• Let us obtain the expression for D considering various types of charge distributions.
Electric Flux Density for Various Charge Distributions
AU
: Dec.-08, May-11
•
Let us obtain the expression for
considering various types of charge
distributions.
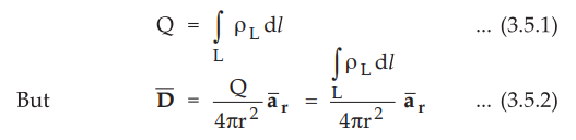
• Consider a line charge having uniform charge density of ρL C/m. Then the total charge along the line is given by,

•
If the line charge is infinite then
is derived as,

•
Consider a sheet of charge having uniform charge density of ρs C/m2.
Then the total charge on the surface is given by,

•
The integration is over the surface S and is a double integral.
•
If the sheet of charge is infinite then
is derived as,

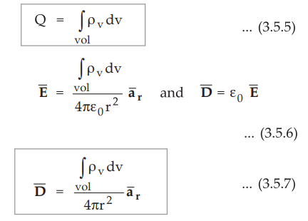
Consider
a charge enclosed by a volume, with a uniform charge density of p, C/m3. Then
the total charge enclosed by the volume is given by,

Ex.
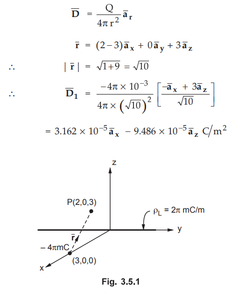
3.5.1 Determine
at (2, 0, 3) if there is a point charge -4 mC at (3, 0, 0)
and a linecharge 2nmС/m along the y-axis.
AU
May-11, Marks &
Sol.
:
Due to point charge at (3, 0, 0),

The
line charge is along y axis so there can not be any component at
along y direction.
Let
point on line charge is (0, y, 0) and P (2, 0, 3).

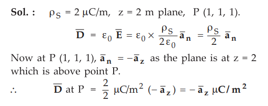
Ex. 3.5.2 A uniform surface charge of ρs =2 μC/m2 is situated at z = 2 plane. What is the value of flux density at P (1, 1, 1) m?
AU:
Dec.-08, Marks 6
Sol.
:
Ps = 2 μC/m, z = 2 m plane, P (1, 1, 1).

Examples for Practice
Ex.
3.5.3 A point charge of 30 nC is located at origin, while
plane y = 4 carries a charge 12 nC/m2. Find electric flux intensity at (0, - 4,
3)

Ex.
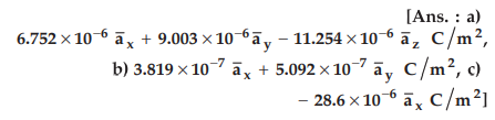
3.5.4 Find
in cartesian
co-ordinate system at point P (6, 8, - 10) due to a) A point charge of 40 mC at
the origin, b) A uniform line charge of ρL = 40 µ C/m on the z-axis and c) A
uniform surface charge of density ρS = 57.2 µ C/m2 on the plane x =
12 m.

Ex.
3.5.5 A point charge of 6 pC is located at
the origin, a uniform line charge density of 180 nC/m lies along x-axis and
uniform shed: of charge equal to 25 nC/m2 lies in the z = 0 plane. Find
at B (1, 2, 4) and iii) Total electric flux leauing the surface
of the sphere of 4 m radius centered at the origin.

Electromagnetic Theory: Unit I: (c) Gauss Law and Applications : Tag: : - Electric Flux Density for Various Charge Distributions
Electromagnetic Theory
EE3301 3rd Semester EEE Dept | 2021 Regulation | 3rd Semester EEE Dept 2021 Regulation