• An electromagnetic wave in a medium can be completely defined if intrinsic impedance (ɳ) and propagation constant (ɤ) of a medium is known. Thus it is necessary to derive the expressions for n and y interms of the properties of a medium such as permeability (µ) permittivity (Ɛ), conductivity (σ) etc.
Electromagnetic Wave Equations in Phasor Form
AU:
Dec.-07, 10, 13, May-10, 13
•
An electromagnetic wave in a medium can be completely defined if intrinsic
impedance (ɳ) and propagation constant (ɤ) of a medium is known. Thus it is
necessary to derive the expressions for n and y interms of the properties of a
medium such as permeability (µ) permittivity (Ɛ), conductivity (σ) etc.
•
Consider Maxwell's equation derived from Faraday's law,

• Taking curl on both the sides of the equation,

•
Consider a general electromagnetic wave with both the fields,
and
varying with respect to time. When any field varies with respect to time, its
partial derivative taken with respect to time can be replaced by jω. Rewriting
equation (10.4.5) in phasor form,

•
In similar way, we can write another phasor equation as,

•
The terms inside the bracket in equations (10.4.6) and (10.4.7) are exactly
similar and represent the properties of the medium in which wave is
propagating. The total bracket is the square of a propagation constant ɤ, hence we can rewrite equations (10.4.6) and (10.4.7) as,

•
So the propagation constant ɤ can be expressed interms of properties of
the medium as,

•
The real and imaginary parts of ɤ are attenuation constant (α) and
phase constant (β) and both can be expressed interms of the properties of the
medium,

•
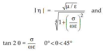
The intrinsic impedance of a medium can be expressed interms of the properties
of a medium and is given by,

• It can also be expressed in polar form as |ɳ| ∠ = θ where

tan
2θ = σ/ωε 0o ∠ θ ∠
45o
Ex. 10.4.1
The equation for the uniform plane wave
travelling in free space is given in the phasor form. The electric field is
given by,
Find
i) Direction of propagation of
uniform plane wave,
ii) Phase velocity v,
iii) Phase constant β iv)
Propagation constant ɤ,
v) Expression for the magnetic
field in phasor form.
Sol.: 
i)
Inspecting above expression, it is clear that
has only y component.
Comparing above with standard equation,

From
the term βx, it is clear that the wave travels in x direction.
Also, ω = 2π ×l09 rad/s,
Em
= 10.4 × 10-6 V/m
ii)
For the free space, phase velocity is nothing but the velocity of light in free
space.
v = c = 3 × 108 m/s
iii)
For free space,

=
20.958 rad/m
iv)
By property,
Hm
= Em/ η0 For free space, η0 = 377 Ω
Hm
= 10.4 × 10-6 / 377 = 0.0265 × 10-6 A/m
As
wave propagates in x-direction and
is in y-direction,
has to be
z-direction. Hence expression for
is given by,

Example for Practice
Ex. 10.4.2
A uniform plane wave in free space is
given by
. Find : a) Direction of propagation of wave b) Angular
frequency c) Wavelength d) Intrinsic impedance in free space e) Magnetic field
intensity.

Review Questions
1. Derive the relationship between electric field and magnetic field. Derive the wave equation for magnetic field in phasor form.
AU : Dec.-lO, 13, Marks 16
2. Derive wave equations in phasor form.
AU : Dec.-07, May-10, Marks 16
3. Derive the EM wave equations in frequency domain and obtain the expressions for intrinsic impedance, and propagation constant for free space, conductor and dielectric media.
AU :
May-13, Marks 16
Electromagnetic Theory: Unit V: Electromagnetic Waves : Tag: : Electromagnetic Waves - Electromagnetic Wave Equations in Phasor Form
Electromagnetic Theory
EE3301 3rd Semester EEE Dept | 2021 Regulation | 3rd Semester EEE Dept 2021 Regulation