If the external source is removed then the unit positive charge will be subjected to a force exerted by the fieldp and will be moved in the direction of force.
Energy Density in the Electrostatic Fields
•
It is seen that, when a unit positive charge is moved from infinity to a point
in a field, the work is done by the external source and energy is expended. If
the external source is removed then the unit positive charge will be subjected
to a force exerted by the fieldp and will be moved in the direction of force.
Thus to hold the charge at a point in an electrostatic field, an external
source has to do work. This energy gets stored in the form of potential energy,
when the test charge is hold at a point in a field. This is analogous to the
water lifted at a height h and stored in a tank. Then it has a potential
energy. When external source is removed, the potential energy gets converted to
a kinetic energy. In this section, the expression of such a potential energy is
derived.
•
Consider an empty space where there is no electric field at all. The charge Q1
is moved from infinity to a point in the space say P1 This requires
no work as there is no
present. Now the charge Q2 is to
be placed at point P2 in the space as shown in the Fig. 4.13.1. But
now there is an electric field due to Q1 and Q2 is required
to be moved against the field of Q1. Hence the work is required to
be done.

Work
done per unit charge
where V2 ,1 = Potential at P2
due to P1
•
Now let charge Q3 is to be
moved from infinity to P3. There are electric fields due to Q1
and Q2. Hence total work done is due to potential at P3
due to charge at P1 and potential at P3 due to charge at
p2.
.•.
Work done to position Q3 at
P3
= V3, 1 Q3 + V3,2 Q3 ….
(4.13.2)
Thus
for charge Qn to be placed at Pn, we can write,
Work
done to po sition Qn at
Pn
= Vn,1 Qn + V n,2 Q n …. (4.13.3)
•
Hence the total work done in positioning all the charges is,
WE
= Q2 V2,1 + Q 3 V3,1 + Q3
V3, 2 + .... (4.13.5)
•
The total work done is nothing but the potential energy in the system of charges
hence denoted as WE.
•
If charges are placed in reverse order we can write,

In
this expression Qn is placed first, then Qn-1... then Q4,Q3,Q2
and finally Q1.
Adding
(4.13.4) and (4.13.5),

•
Each sum of the potentials is the total resultant potential due to all the
charges except for the charge at the point at which potential is obtained.

•
This is potential at P1 where Q1 is placed due to all
other charges Q2,Q3,... Qn

•
This is the potential energy stored in the system of n point charges.
•
It instead of point charges, the region has continuous charge distributions
then summation in equation (4.13.7) becomes integration.

1. Energy Stored interms of 
•
Consider the volume charge distribution having uniform charge density ρv C/ m3.
Hence the total energy stored is given by the equation (4.13.10) as,

•
According to Maxwell's first equation,

•
For any vector A and scalar V there is vector identity,

•
According to divergence theorem, volume integral can be converted to closed
surface integral if closed surface totally surrounds the volume.

proportional to at least 1/r3 while dS varies as r2. Hence total integral varies as 1/r. As surface becomes very large, r → ∞ and 1/r 0. Hence closed surface integral is zero in the equation (4.13.16).

•
This is called energy density in the electric field having units J /m3.
If this is integrated over the volume, we get total energy present.

Ex.
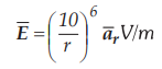
4.13.1 The electric field between two concentric cylindrical conductors at r =
0.01m and r = 0.05 m is given by
. Find the energy stored in a 50
metre length. Assume free space.

Ex.
4.13.2 If V = x – y + xy + 2z V, find
at (1, 2, 3) and the
energy stored in a cube of side 2 m centered at the origin.
AU
: May-19, Marks 13
Sol.
:

Ex.
4.13.3 Three point charges 1, 2, 3 coulombs are situated in free space at the
corners of an equilateral triangle of side 1 m, Find the energy stored in the
system.
AU
: May-08, Marks 8
Sol.
:
The charges existing at the comers of an equilateral triangle are shown in the
Fig. 4.13.2.

Ex.
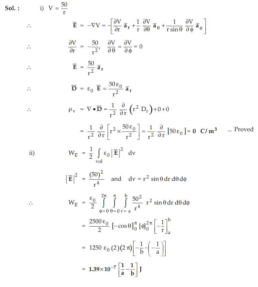
4.13.4 The potential field in free space is given by,
V
= 50/r , a ≤ r ≤ b (spherical)
i)
Show that ρv = 0 for a < r < b
ii)
Find the energy stored in the region a < r < b.
Sol.
:

Examples
for Practice
Ex.
4.13.5 Point charges Q1 = 1 nC, Q2
= - 2 nC, Q3 = 3 nC and Q4 = - 4 nC are placed one by one
in the same order at (0,0,0), (1,0,0), (0,0,-1) and (0,0,1) respectively.
Calculate the energy in the system when all charges are placed.
[Ans.68.178
J]
Ex.
4.13.6 Find the potential energy stored in the
following free space charge configurations,
i)
A charge Q at each corner of an equilateral triangle of sides d.
ii)
A charge Q at each comer of a square of side'd'.

Ex.
4.13.7 IfV = x- y + xy + zV, find
at (1, 2, 4) and the electrostatic energy stored in a cube of side 2 m centered
at the origin.

Ex.
4.13.8 Find the stored energy in a system of
four identical charges Q = 4 nC at the corners of a square of 1 m on a side.
[Ans.:
0.7785 µJ]
Ex.
4.13.9 A pair of 200 mm long concentric
cylindrical conductors of radius 50 and 100 mm is filled with a dielectric of £
= 10 EQ. A voltage is applied between the conductors to establish an electric
field,
between cylinders. Calculate energy stored.
[Ans.:
5.691 × 1013 J]
Ex.
4.13.10 V = r2 z sin ϕ, calculate the energy
within the region defined by
1
< r < 4, - 2 < z < 2 and
0
< ϕ < π/3
[Ans.:
6.6735 nJ]
Review Question
1. Derive the expression for energy stored and energy density in
electrostatic fields.
AU : May-06, 10, Dec.-12, 13, Marks 8
Electromagnetic Theory: Unit II: (a) Electric Work Potential and Energy : Tag: : - Energy Density in the Electrostatic Fields
Electromagnetic Theory
EE3301 3rd Semester EEE Dept | 2021 Regulation | 3rd Semester EEE Dept 2021 Regulation