• This type of MOSFET operates only in the enhancement mode and has no depletion mode. It differs in construction from the depletion MOSFET in that it has no physical channel.
Enhancement MOSFET (E-MOSFET)
AU
: May-13, 14, 15, 16. 17. Dec.-13, 15
•
This type of MOSFET operates only in the enhancement mode and has no depletion
mode. It differs in construction from the depletion MOSFET in that it has no
physical channel.
•
The Fig. 4.3.1 shows the physical structure of n-channel enhancement type
MOSFET.

•
Like, depletion type MOSFET, two highly doped n-regions are diffused into a
lightly doped p-type substrate.
•
The source and drain are taken out through metallic contacts to n-doped regions
as shown in the Fig. 4.3.1.
•
But the channel between two n-regions is absent in the enhancement type MOSFET.
•
The SiO2 layer is still present to isolate the gate metallic
platform from the region between the drain and source, but now it is simply
separated from a section of the p-type material.
•
On application of drain to source voltage VDS and keeping gate to
source voltage zero by directly connecting gate terminal to the source
terminal, practically zero current flows-quite different from the depletion
type MOSFET and JFET.
•
If we increase magnitude of VGS in the positive direction, the
concentration of electrons near the SiO2 surface increases.
•
At a particular value of VGS there is a measurable current flow between drain
and source. This value of VGS is called threshold voltage denoted by VT.
•
Thus, we can say that in an enhancement type n-channel MOSFET, a positive gate
voltage above a threshold value induces a channel and hence the drain current
by creating a thin layer of negative charges in the substrate region adjacent
to the SiO2 layer, as shown in the Fig. 4.3.2.

•
The conductivity of the channel is enhanced by increasing the gate to source
voltage and thus pulling more electrons into the channel.
•
For any voltage below the threshold value, there is no channel.
•
Since the channel does not exist with VGS = 0 V and "enhanced" by the
application of a positive gate to source voltage, this type of MOSFET is called
an enhancement type MOSFET.
•
Fig. 4.3.3 shows the drain characteristics of an n-channel enhancement type
MOSFET. Looking at Fig. 4.3.3 we can say that as VGS increases
beyond the threshold level, the density of free carriers (electrons) in the
induced channel increases, increasing the drain current. However, at some point
of VDS, for constant VGS, the drain current reaches a saturation
level.

• The value of VDS at this point is
known as pinch-off voltage (VP). The levelling off of ID is due to a pinch-off
process. Fig. 4.3.4 shows pinch off process for n-channel enhancement type
MOSFET.

•
Fig. 4.3.5 shows the transfer characteristic for n-channel enhancement type
MOSFET.

•
This characteristic is quite different from characteristic that we obtained for
JFET and depletion type MOSFET. For an n-channel enhancement type MOSFET it is
now totally in the positive VGS region and as we know ID does not
flow until VGS = VT
•
For VGS > VT the relationship between drain current
and VGS is nonlinear and it is given as
ID
= K (VGS-VT)2 ...(4.3.1)
where
VGS - VT is a gate to source overdrive voltage denoted by
VoV’
•
The K term is a constant that is a function of the construction of the device.
The value of K can be determined from equation,
K
= ID (ON) / (VGS(ON) – VT)2 ...(4.3.2)
•
The parameter K is called conduction parameter. It is given by
K
= WµnCox / 2L
•
Where Cox is the oxide capacitance per unit area. The capacitance is
given by
Cox
= Ɛox / tox
where
tox is the oxide thickness and Ɛox is the oxide
permittivity.
•
The parameter µn is the mobility of the electrons in the inversion
layer.
K
= K w/2L
•
The µn Cox is a constant known as process
transconductance parameter. It determines the value of MOSFET transconductance,
denoted by kn and has dimensions of A/V2.
•
The parameter W is the channel width and parameter L is the channel length.
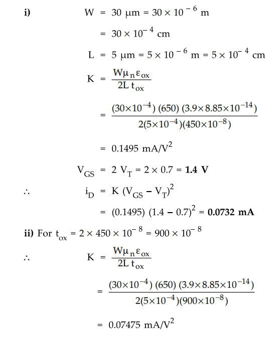
Ex.
4.3.1 For N-EMOSFET VT = 0.7 V, W = 30 µm L = 5 µm µn = 650 cm2/V
- S, tox = 450 A (450 x 10~8\ eox = 3.9 x 8.85 x 10-14 F/ cm
Assume
transistor is biased in saturation region :
i)
Determine drain current when VGS = 2VT.
ii)
If tox is doubled, find new K.
Sol. :

•
The construction of the p-channel enhancement type MOSFET is exactly opposite
to that of n-channel enhancement type MOSFET. Here, the substrate is of n-type
and regions are of p-type as shown in the Fig. 4.3.6.
•
As shown in the Fig. 4.3.7 voltage polarities and current directions are
reversed.
•
The drain characteristics appear exactly as in the Fig. 4.3.7 but with VDS
with negative values, ID in opposite direction and VGS
having opposite polarities as shown in the Fig. 4.3.7.
•
In the p-channel enhancement type MOSFET, the transfer characteristic is a
mirror image about the ID axis (y axis) of the transfer characteristics of
n-channel depletion type MOSFET, since the VGS is negative.
E-MOSFET
symbols
•
Fig. 4.3.9 shows graphic symbols for n and p-channel enhancement type MOSFET.

•
The Fig. 4.3.10 shows induced channel at different levels of VDS- In
the figure, the thickness of the induced channel layer qualitatively indicates
the relative charge density.
•
In Fig. 4.3.10 (a), applied VDS small and for this case the relative
charge density is constant along the entire channel length.
•
The Fig. 4.3.10 (b) shows the situation when VDS increases. As the drain
voltage increases, the voltage drop across the oxide near the drain terminal
decreases, which means that the induced inversion charge density near the drain
also decreases. The incremental conductance of the channel at the drain then
decreases, which causes the slope of the ID versus VDS
curve to decrease. This effect is shown in the ID versus curve in
the figure.
•
As VDS increases to the point where the potential difference across
the oxide at the drain terminal is equal to VT, the induced inversion charge
density at the drain terminal is zero. This is illustrated in Fig. 4.3.10 (c).

•
When VDS becomes larger than VDS (sat)the
point in the channel at which the inversion charge is just zero moves towards
the source terminal. In this case, electrons enter the channel at the source,
travel through the channel towards the drain, and then at the point where the
charge goes to zero, are injected into the depletion region, where they are
swept by the E-field to the drain contact.
•
It is observed that as VDS increases beyond VDS (sat effective channel length
decreases, producing the phenomenon called channel length modulation.
Important
Concepts
•
The MOSFET will have a smaller threshold voltage VTH if the channel
length is reduced.
•
Reducing the channel length increases the drain current and hence the
transconductance of the MOSFET.
Review Questions
1. Explain the construction, operation and characteristics of
n-channel enhancement type
AU : Dec.-13, 15, May-14, Marks 8
2. With the help of suitable diagram, explain the working of
N-channel enhancement MOSFET.
AU : May-13, 15, Marks 16
3. Define threshold voltage.
4. Define pinch-off voltage.
5. Explain the channel length modulation.
6. State true or false : The transconductance increases if
channel length is reduced.
7. Elaborately discuss the drain current characteristics and
transfer characteristics of MOSFET.
8. Explain the drain and transfer characteristics of Enhancement
type MOSFET.
AU : May-17, Marks 7
Electron Devices and Circuits: Unit II: (c) MOSFET : Tag: : Construction, Operation, Symbols, Characteristics, Parameters - Enhancement MOSFET (E-MOSFET)
Electron Devices and Circuits
EC3301 3rd Semester EEE Dept | 2021 Regulation | 3rd Semester EEE Dept 2021 Regulation