Probability and complex function: Unit II: Two dimensional random variables : Exercise 2.4
EXERCISE 2.4
1.
Let fx (x) = 2x, 0 ≤ x ≤ 1 and fy (y) = y2/9,
0 ≤ y ≤ 3 be the p.d.f of the 2 independent random variables. Find the p.d.f of
XY.
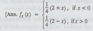
2.
If X and Y are independent random variables with identical uniform
distributions in the interval (-1, 1), find the density function' of Z = X + Y.

3.
If X and Y are independent Random variables with
fX(x)
= e-x, fY(y) = 3e-3y find fz (z), if Z = X / Y
4.
If X and Y are independent random variables with identical Suniform
distributions in (0, 1), find (i) the joint density function eqler of (U, V),
where U= X + Y and V = X - Y;
(ii)
the density function of U and (iii) the density function of V.
5.
If X1 and X2 are independent uniform variates on [0, 1],
find Svicthe distribution of X21/X2 and X1 X2.
6.
Let X be a continuous random variable with

Find
the p.d.f of the random variable Y = X2 [AU M/J 2006]
7.
The joint p.d.f of the two dimensional random variable is

Find
the p.d.f of X + Y. [A.U N/D 2016 R13 (RP)]
8.
(i) Write down the formula to find the
p.d.f of Z = XY in terms of p.d.f of X and Y if they are independent.
(ii) If U = X + Y and V=X - Y how are the
joint p.d.f of (X, Y) and (U, V) related.
9.
If the joint p.d.f of X1 and X2 is given by

the
probability density of U = X1 + X2
Probability and complex function: Unit II: Two dimensional random variables : Tag: : Problems with Answer | Two dimensional random variables - Exercise 2.4 (Transformation of random variables)
Probability and complex function
MA3303 3rd Semester EEE Dept | 2021 Regulation | 3rd Semester EEE Dept 2021 Regulation