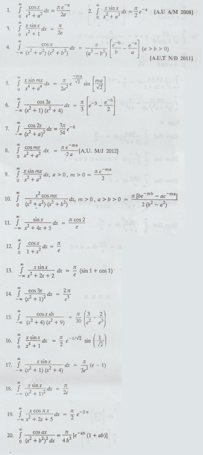
Probability and complex function: Unit IV: Complex integration : Exercise 4.4
EXERCISE 4.4
Type
1

Show
that the following:

Type
2
Show
that the following:

Type
3
Show
that the following:

Type
4

Probability and complex function: Unit IV: Complex integration : Tag: : Problems with Answer - Exercise 4.4 (Contour Integration)
Probability and complex function
MA3303 3rd Semester EEE Dept | 2021 Regulation | 3rd Semester EEE Dept 2021 Regulation