Probability and complex function: Unit I: Probability and random variables : Exercises 1.6
EXERCISES 1.6
1.
Define m.g.f. of a discrete and continuous r.v. X.
2.
Define cumulants and obtain the first four cumulants interms of central moments.
3.
Define the characteristic function of a r.v. X. Show that the characteristic
function of the sum of two independent variables is equal to the product of
their characteristic function.
4.
Find the characteristic function of r.v. X defined as

[Ans. e(it - 1)/ it]
5.
State any two properties of the characteristic function of a r.v. X.
6.
Find the characteristic function whose probability density function is
f(x)
= λ /π (λ2 + x2) [Ans. e-λ/t]
7.Show
that the 7th moment for the distribution f (x) = ce-cx, c is
positive and 0 ≤ x ≤ ∞ is (r− 1)!.
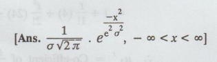
8. Find the density function of the distribution for which the characteristic function is given by ϕ(t) = e –σ2 t2/2
[Ans. 1/σ √ 2π . e.x-2/C2
σ 2 -∞ < x < ∞]

9.
If the m.g.f of a R.V. 'X' is 2/ 2 - t, then find the S.D of X. [Ans. 1/2]
10.
Find the m.g.f of a r.v. X whose density function is given by
f(x) = λe -λ (x − a), x ≥ a. Hence find its mean and variance.
[Ans. m.g.f =λ eat/λ – t ; Mean = aλ + 1/λ ; Var = 1/λ2 ]
11. The random variable X assumes the value x with the probability P (X = x) = qx-1 p, x = 1,2,3,... Find the m.g.f of X and find its mean and variance.
[ Ans. Pet/1- et , 1/p , q/p2 ]
12.
Find the m.g.f for the given distribution

Also, find μ1' and μ2'' by two
different methods.
[Ans. ebt - eat /
t(b – a ) , a + b/2 , b3 - a3 / 3(b - a) ]
13.
A random variable X has the p.d.f.

Find its m.g.f mean and variance.
[Ans.
et / 2 – e ,2 , 2 ]
14.
Give the significance of moments of a random variable.
15.
Define nm moment about origin for a random variable.
16. Find the moment generating function of a R.V X having the density function

Using the generating function, find the first four moments
about the origin.
Probability and complex function: Unit I: Probability and random variables : Tag: : Problems with Answer | Random variables - Exercises 1.6 (Moments - moment generating functions)
Probability and complex function
MA3303 3rd Semester EEE Dept | 2021 Regulation | 3rd Semester EEE Dept 2021 Regulation