Probability and complex function: Unit I: Probability and random variables : Exponential distribution
EXPONENTIAL DISTRIBUTION
1.
Exponential distribution
A
continuous random variable X is said to follow exponential distribution if its
probability density function is given by,

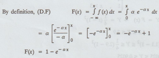
2.
Distribution function of Exponential Distribution

3.
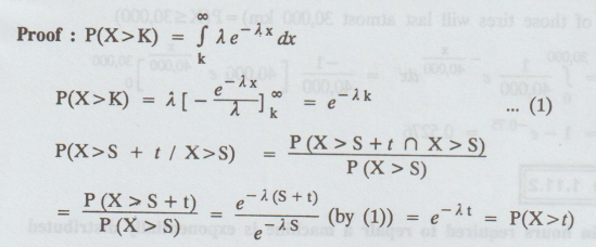
Memoryless property of exponential distribution [A.U Tvli M/J 2010] [A.U M/J
2013] [A.U N/D 2016 R13 PQt] [A.U N/D 2018 (R17) PS] [A.U A/M 2019 (R17) PS]
If
X is exponentially distributed, then
P(X
> S + t/X > S) = P(X > t), for
any S, t > 0

Hence,
P(X > S + t / X > S) = P(X > t)
The
converse of this result is also true.
(i.e.,)
If P(X > S + t / X > S) = P(X > t) then X follows an exponential distribution.
Example
1.11.1
The
mileage which car owners get with a certain kind of radial tyre is a random
variable having an exponential distribution with mean 40,000 km. Find the
probabilities that one of these tires will last (i) atleast 20,000 km and (ii)
atmost 30,000 km. [A.U M/J 2009] [A.U A/M 2015 R-8] [A.U N/D 2018 (R13) RP]
Solution:
Let
X denotes the mileage obtained with the tire
and
mean = 1 / λ
Mean
= 1 / λ = 40,000 km (given)
λ
= 1/40,000 , x > 0
The
density function f (x) is given by

Example
1.11.2
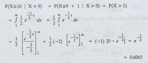
The
time in hours required to repair a machine is exponentially distributed with
perimeter λ = 1/ 2
(i)
What is the probability that the repair time exceeds 2h,
(ii)
What is the conditional probability that a repair takes atleast 10h given that
its duration exceeds 9h ?
[A.U
M/J 2006]
[A.U
N/D 2010] [A.U M/J 2012] [A.U N/D 2017 (RP) R-08]
Solution
:
Given
λ = 1 / 2
Let
'X' denotes the time to repair the machine.
The
density function of X is given by,

(ii)
The conditional probability that a repair takes atleast 10h given that its duration
exceeds 9h is given by,

Example
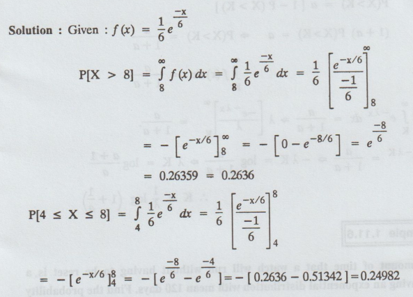
1.11.3
The
length of time a person speaks over phone follows exponential distribution with
mean 6. What is the probability that the person will talk for (1) more than 8
minutes (2) between 4 and 8 minutes ? [A.U N/D 2006] [A.U M/J 2016 R13 RP]
Solution:

Example
1.11.4
If
a continuous random variable X follows uniform distribution in the interval (0,
2) and a continuous random variable Y follows exponential distribution2 with
parameter a, find a such that P (X < 1) = P(Y<1). [A.U Tvli A/M 2009] [A.U N/D 2013]
Solution
:

Example
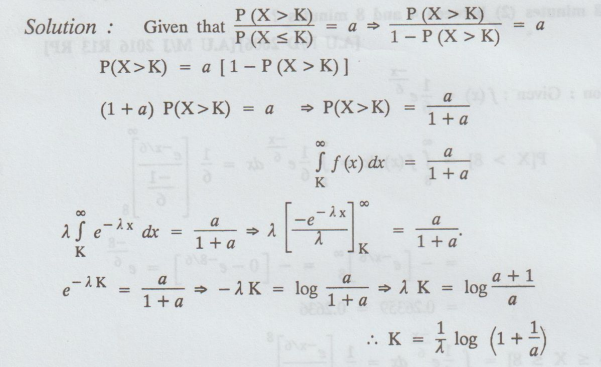
1.11.5
If
X is exponentially distributed with parameter 2, find the value of K there
exists P(X > K) / P(X ≤ K) = ɑ.
Solution
:

Example
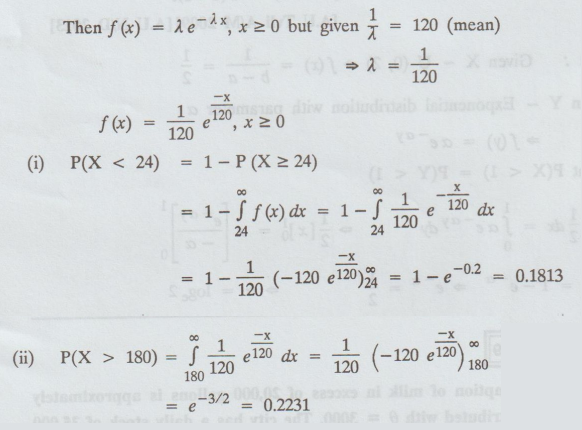
1.11.6
The
amount of time that a watch will run without having to be reset is a R.V having
an exponential distribution with mean 120 days. Find the probability that such
a watch will (i) have to be set in less than 24 days and (ii) not ays and (ii)
not have to be reset in atleast 180 days.
[A.U CBT A/M 2011] [A.U A/M 2018 R-08]
Solution:
Let
'X' denotes the number of days the watch will run without reset.

Example
1.11.7
If
X ≈ eλ with P(X ≤ 1) = P(X > 1), find Var (X).
Solution:
Given
X has an exponential distribution with parameter λ.

Example
1.11.8
If
the number of kilometres that a car can run before its battery wears out is
exponentially distributed with an average value of 10,000 km and if the owner
desires to take a 5000 km trip, what is the probability that he will be able to
complete his trip without having to replace the car battery. Assume that the
car has been used for same time.
Solution
:
Let
X denotes the number of kilometres that a car can run before its battery wears
out.

Example
1.11.9
The
daily consumption of milk in excess of 20,000 gallons is approximately
exponentially distributed with = 3000. The city has a daily stock of 35,000
gallons. What is the probability that of two days selected at random, the stock
is insufficient for both days.
Solution:
X→
Excess amount of milk consumed in a day.
If
'Y' denotes the daily consumption of milk, then X = Y - 20,000 follows the
exponential distribution.

Hence,
the probability that of 2 days selected at random, the stock is -10
insufficient for both days = e-5. e-5 = e-10
Example
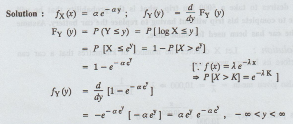
1.11.10
If
X has an exponential distribution with parameter a, find the probability
density function of Y = log X. [A.U. N/D 2006]
Solution:

Example
1.11.11
If
X is exponentially distributed, prove that the probability that X exceed its
expected value is less than 0.5
Solution:
Let
X is exponentially distributed, its p.d.f is

Probability and complex function: Unit I: Probability and random variables : Tag: : Formula, Solved Example Problems | Random variables - Exponential distribution
Probability and complex function
MA3303 3rd Semester EEE Dept | 2021 Regulation | 3rd Semester EEE Dept 2021 Regulation