• While discussing the electrostatic fields, we have studied that a point charge exerts a force on another point charge, separated by distance R. If these charges are of same type (i.e. both positive or negative), then they repel each other.
Force between Differential Current Elements
AU
: Dec.-05, 07, 08, 09, 12, 13, May-04, 10, 11, 12
•
While discussing the electrostatic fields, we have studied that a point charge
exerts a force on another point charge, separated by distance R. If these
charges are of same type (i.e. both positive or negative), then they repel each
other. But when two charges are of different type (i.e. one positive and other
negative), then they attract each other.
•
Let us now consider two current elements
as shown in the Fig.
8.4.1. Note that the directions of I1 and I2 are same.

•
Both the current elements produce their own magnetic fields. As the currents
are flowing in the same direction through the elements, the force d
exerted on element
due to the magnetic field
produced by
other element
is the force of attraction.
•
From the equation of force the force exerted on a diffe rential current element
is given by,
p
•
According to Biot-Savart's law, the magnetic field produced by current element
is given by, for free space,
p
•
The equation (8.4.3) represents force between two current elements. It is very
much similar to Coulomb's law. By integrating d (d F2) twice, the total force
on current element 1 due to current element 2 is given by,

•
Exactly following same steps, we can calculate the force
exerted on
the current element 2 due to the magnetic field
produced by the
current element
1.
Thus,

•
Actually equation (8.4.5) is obtained from equation (8.4.4) by interchanging
the subscripts 1 and 2. By using back-cab rule for expanding vector triple
product, we can show that

•
Thus, above condition indicates that both the forces
obey
Newton's third law that for every action there is equal and opposite reaction.
•
Now consider that two current carrying conductors are placed parallel to each
other. Each of this conductor produces its own flux around it. So when such two
conductors are placed closed to each other, there exists a force due to the
interaction of two fluxes. The force between such parallel current carrying
conductors depends on the directions of the two currents. If the directions of
both the currents are same, then the conductors experience a force of attraction
as shown in the Fig. 8.4.2 (a). And if the directions of two currents are
opposite to each other, then the conductors experience a force of repulsion as
shown in the Fig. 8.4.2 (b).

•
Consider two long parallel conductors of length I each placed in a medium.
Assume that the conductors are separated by distance d as shown in the Fig.
8.4.3.

Assume
that the conductors carry current in opposite direction as shown in the Fig.
8.4.3.
•
Now the magnitude of force exerted on conductor 1 i.e.|
| due to
magnetic field
produced by conductor 2 is given by,

•
Now using Ampere circuital law, we can find magnitude of magnetic field
intensity due to straight long conductor as
H2
= I2 / 2πd
Hence
by definition,
B2
= µH2 = µ0 µr I2 / 2πd ... (8.4.9)
•
Substituting value of B2 m expression for F1, we get,

•
Similarly the magnitude of force acting on conductor 2 due to magnetic field
produced by conductor 1, we can write,

•
Thus in general, we can write that, for the two parallel conductors of length I
carrying two same or different currents, the force exerted is given by,

•
where I1 and I2 are the currents flowing through conductor
1 and conductor 2 and d is the distance of separation between two conductors.
•
If the two currents flow in same directions, the current carrying conductors
attract each other. While if, the two currents flow in opposite direction to
each other, the current carrying conductors repel each other.
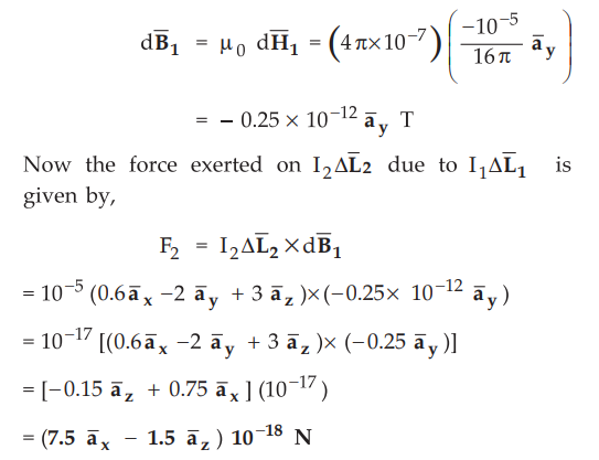
Ex.
8.4.1 A current element,
A.m
is located at P, (1,0,0) while a second element,
both in free
space. Find the vector force exerted on 
Sol.
:
The magnetic field intensity at point P1 due to
can be
obtained using Biot-Savart's law as follows.

The
unit vector in the direction of
is drawn from P1 to P2.

Thus
the magnetic flux density at point P1 is given by,

Ex.
8.4.2 Determine the force between two long parallel wires of 200 m length
separated by 5 cm in air carrying currents of 40 A in same direction and in
opposite direction.
AU
: Dec.-08, Marks 4
Sol
. :

When
currents in both conductors are in same direction, the conductor experience
force of attraction of 1.28 N. When currents are in opposite direction, the
conductors experience force of repulsion 1.28 N.
Ex.
8.4.3 Determine the force per meter length between two long parallel wires A
and B separated by distance 5 cm in air and carrying currents of 40 A in the
same direction.
AU
: Dec.-07, 09, Marks 4
Sol.
:

The
force per meter length L between two long conductors is given by,

As
the currents in both the parallel conductors flow in same direction, the force
experienced will be force of attraction.
Ex.
8.4.4 Two wires carrying current in the same direction of 3 A and 6 A are
placed with their axes 5 cm apart, free space permeability = 4π × 10-7
H/m. Calculate the force between them in N/m length.
Sol.
:
Force between two parallel conductors is given by,
F
= µI1 I2 l / 2πd
d
= Distance of separation = 5 cm = 5 × 10-2m, I1 = 3 A, I2 = 6 A, l =
Length of conductors
Hence
force per unit meter length is given by,

Ex.
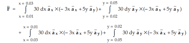
8.4.5 The magnetic flux density in a region of free space is given by
.
Find the total force on the rectangular loop as shown in the Fig. 8.4.4. If it
lies in the plane z = 0 and is bounded by x = 1, x = 3, y = 2, y = 5, all
dimensions in cm.

Sol.
:
In the plane z = 0, the z-component of the magnetic field
will be
zero. In other words it will not contribute to the force. The force on the loop
is given by,

Considering
dimensions of all sides in meter, we can write,

For
side 1 and 3, the values of y are 0.02 and 0.05 respectively. While for sides 2
and 4, the values of x are 0.03 and 0.01 respectively.

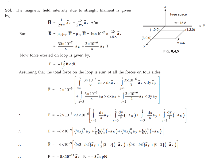
Ex.
8.4.6 Find the force on a wire carrying a current of 2 mA placed in xy plane
bounded by x = 1, x = 3, y = 0 and y = 2 as shown in the Fig. 8.4.5. The
magnetic field is due to the long conductor, located in y-axis, carrying a
current of 15 A as shown.
Sol.
:
The magnetic field intensity due to straight filament is given by,

Examples
for Practice
Ex.
8.4.7 Two parallel circular loops of radii, r1
and r2 (r1 >> r2 ) are coaxially located
and carry currents I1 and I2 respectively. The axial
distance between the centres of loops is 'z'. Find approximately the force
between the loops.
Ex.
8.4.8 Find the force per meter length between
two long parallel wires separated by 10 cm in air and carrying a current of 10
A in the same direction.
[Ans.:
0.2 mN/m]
Review Questions
1. Derive an expression for the force between two long straight
parallel current carrying conductors.
AU : May-10, Dec.-13, Marks 10
2. Establish the relation of force between current carrying
parallel conductors.
3. Derive the magnetic force between two parallel conductors
carrying equal currents in the i) Same direction ii) Opposite direction
Electromagnetic Theory: Unit III: (b) Magnetic Forces, Magnetic Materials and Inductance : Tag: : with Example Solved Problems - Force between Differential Current Elements
Electromagnetic Theory
EE3301 3rd Semester EEE Dept | 2021 Regulation | 3rd Semester EEE Dept 2021 Regulation