• Now consider that a charge is placed in a steady magnetic field. It experiences a force only if it is moving.
Force on a Moving Point Charge
AU
: Dec.-09, 17
•
According to the discussion in the previous chapters, a static electric field
exerts a force on a static or moving charge Q. Thus according to
Coulomb's law, the force
exerted on an electric charge can be
obtained. The force is related to the electric field intensity
as,

•
For a positive charge, the force exerted on it is in the direction of
. This force is also referred as electric force (
).
•
Now consider that a charge is placed in a steady magnetic field. It experiences
a force only if it is moving. Then a magnetic force (
) exerted on a
charge Q, moving with a velocity
in a steady magnetic field
is
given by,

•
The magnitude of the magnetic force
is directly proportional to the
magnitudes of Q,
also the sine of the angle between
.
The direction of
is perpendicular to the plane containing
both, as shown in the Fig. 8.2.1.

•
From equation (8.2.1) it is clear that the electric force
is
independent of the velocity of the moving charge. In other words, the electric
force exerted on the moving charge by the electric field is independent of the
direction in which the charge is moving. Thus the electric force performs work
on the charge. On the other hand, the magnetic force
is dependent
on the velocity of the moving charge. But
cannot perform work on a
moving charge as it is at right angle to the direction of motion of charge. 
Lorentz
Force Equation : Newton stated important property of two
or more forces that they act independently of each other but their net or
resultant effect is the sum of the effects of all forces. That means, if a
particle carrying charge + Q and moving with velocity
is present in
a region where both electric and magnetic fields are present, then the particle
in a motion experiences forces
due to the electric and magnetic
fields respectively and the resultant force experienced by a charged particle
in motion is given by,

•
Above equation is called Lorentz Force Equation which relates mechanical force
to the electrical force.
•
The important points to be remembered about the Lorentz force equation are,

•
The name given to equation was in the honour of Dutch Physicist Hendrik A.
Lorentz (1853-1928) who was the second person in the word to achieve Nobel
Prize for Physics in 1902. The solution of this equation is useful in the
determination of electron orbits in magnetron, proton paths in cyclotron and
plasma characteristics in Magnetohydrodynamic Generator (MHD generator).
•
If the mass of the charge is m, then we can write,

•
Let us summarize the important conditions of a force on a charged particle as
given in Table 8.2.1.

Key
Point : 1. The electric force is exerted on a point charge
irrespective of whether it is stationary or in motion. But the magnetic force
is exerted on a point charge only if it is in motion.
2.
The electric force is always in the direction of the electric field while the
magnetic force is always perpendicular to the magnetic field.
3.
The electric force displaces a point charge at the cost of energy but no work
is done by the magnetic force when a point charge is displaced.
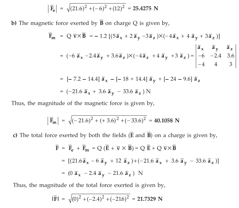
Ex.
8.2.1 A point charge of Q = - 1.2 C has velocity
m/s Find the magnitude of
the force exerted on the charge if,

c)
Both are present simultaneously.
Sol.
:
a) The electric force exerted by
on charge Q is given by,

Thus,
the magnitude of the magnetic force is given by,

Thus,
the magnitude of the total force exerted is given by,

Ex. 8.2.2 A point charge, Q = - 60 nC, is moving with a velocity 6 × 106 mis in the direction specified by unit vector

Find the magnitude
of the force on a moving charge in the magnetic field,
Sol.
:
The magnitude of velocity is given as v = 6 × 106 m/s. The direction
of this velocity is specified by an unit vector. Thus we can write,

Thus
the magnitude of the force on a moving charge is given by,

Examples
for Practice
Ex.
8.2.3 A charged particle moues with a uniform
velocity 4ax m/sec in a region where
Determine Bo such that the velocity of the particle remains constant.
[Ans.:
5 Wb/m2]
Ex.
8.2.4 A charge of Q = 5 × 10-18 C
is moving through a uniform magnetic
field of

a)
What is the electric field present at t = 0 if the net force on the electron is
zero ?
b)
If the electric field intensity is in the
direction entirety, find Ex
if |Ftotal| = 2 pN.

Ex,
8,2.5 A point charge Q = 18 nC has a velocity
of 5 × 106 m/s in the direction

Calculate
the magnitude of the force exerted on the charge by the field,

Ex.
8.2.6 If the magnetic field is
what is the force on a charge of 1 pC moving with a velocity of 10-6
m/sec.

Review Questions
1. Give short note on the following : Lorentz law of force.
AU : Dec.-09, Marks 4
2. Derive Lorentz force equation.
3. Define Magnetic force.
AU : Dec.-17, Marks 2
Electromagnetic Theory: Unit III: (b) Magnetic Forces, Magnetic Materials and Inductance : Tag: : Lorentz force equation, Definition, Formula, Solved Example Problems - Force on a Moving Point Charge
Electromagnetic Theory
EE3301 3rd Semester EEE Dept | 2021 Regulation | 3rd Semester EEE Dept 2021 Regulation