• Fig. 7.7.1 shows the CS MOSFET amplifier. Its gain falls at low frequency due to the effect of CC1 ,Cs and CC2- Its gain falls at high frequency due to the effect of Cgs and Cgd
Frequency Response of CS Amplifier
AU
: Hay-16, Dec.-17
•
Fig. 7.7.1 shows the CS MOSFET amplifier. Its gain falls at low frequency due
to the effect of CC1 ,Cs and CC2- Its gain falls at high frequency due to the
effect of Cgs and Cgd
•
Fig. 7.7.1 (b) shows the frequency response of CS MOSFET amplifier.

•
Fig. 7.7.2 shows the equivalent circuit for CS MOSFET amplifier.

•
Let us consider the output node. The load current is gmVgs -Igd, where gmVgs is
the output current of the MOSFET and Igd is the current supplied through the
very small capacitance Cgd.
•
At frequencies in the vicinity of fHH, the Igd is very small and can be
neglected. Hence, we can write
Vo
= - ILR'L =-gm Vgs RL
where
RL = ro || RD || RL ... (7.7.1)
•
Now consider the input node. We can replace Cgd at the input side with the
equivalent capacitance Ceq using Miller's theorem. This is illustrated in Fig.
7.7.3.

•
By Millers theorem, equivalent capacitance is given by,
Ceq
= (1 + Av)C = (1 + Av) Cgd …. (7.7.2)

•
By considering input circuit as a simple-time constant circuit we have

Ex.
7.7.1 For CS MOSFET amplifier, Rsi = 100 kΩ, RG = 4.7 MΩ, RD =15 K, RL = 15 K,
gm = 1 mA/V, r0 = 150 kΩ CgS = 1 pF and Cgd = 0.4 pF. Find the midband gain AM
and the upper 3 dB frequency, fH.
AU
: June-16, Marks 8

•
The low frequency response of CS MOSFET amplifier is affected by the three RC
networks as shown in the Fig. 7.7.5.

•
The comer frequencies due to three RC networks can by given by

• The overall low-frequency transfer function of the amplifier can be found from above three equation and it is given by,

•
The highest of these three frequencies is the lower 3 dB frequency, fL. Most of
the times, f1 (frequency due to bypass capacitor network) is higher than the
other two and hence the lower 3 dB frequency.
•
Fig. 7.7.6 shows the low-frequency response of a CS MOSFET amplifier.

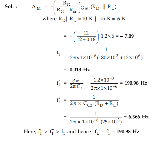
Ex.
7.7.2 For a CS MOSFET amplifier, Cc1 = CS = CC2 =1µF, RG =12MΩ, Rsi = 180 kΩ, gm =1.2 mA/V, RD = 10 K and RL = 15 K.
Calculate AM, fL, f1, f1 and fL
Sol :

Review Questions
1. Draw and explain the frequency response characteristics of CS
MOSFET amplifier.
2. Explain the effect of various capacitors on the frequency
response of CS MOSFET amplifier.
3. Make a high frequency analysis of a common source amplifier.
Electron Devices and Circuits: Unit III: (b) MOSFET Amplifier : Tag: : Solved Example Problems | MOSFET Amplifier - Frequency Response of CS Amplifier
Electron Devices and Circuits
EC3301 3rd Semester EEE Dept | 2021 Regulation | 3rd Semester EEE Dept 2021 Regulation