Questions : 1. What is grading of cables ? Discuss the capacitance grading of cables in detail. 2. Discuss the intersheath grading of cables in detail. 3. With neat diagram, explain the various methods of grading of underground cables. 4. A single core lead sheathed cable is graded using two dielectrics of relative permittivity 3.6 (inner) and 2.5(outer), the thickness of each being 1 cm. The core diameter is 1 cm. System voltage is 66 kV (line value), 3 phase. Determine the maximum stress in the two dielectrics. 5. A 66 kV single cores lead sheathed cable is graded by using two dielectrics of relative permittivity 5 and 3 respectively, thickness of each being 1 cm. The core diameter is 2 cm. Determine the maximum stress in the two dielectrics. 6. Show that in a cable using two intersheaths the maximum stress in the dielectric reduces by the factor 1 / (1/3) (1 + a + a2) of the maximum stress in an ungraded cable where d1 / d = d2 / d1 = D / d2 = a and D = Sheath diameter, d = Core diameter whiled1 and d2 are the diameters of intersheaths. 7. A cable has intersheath grading which satisfies d1 / d = D / d1 = a The conductor diameter is 2 cm while the intersheath diameter is 5 cm. Determine the location of the intersheath. Calculate the ratio cf maximum electric stress with and without intersheath. 8. A single core cable is graded using two dielectrics of relative permittivities 3.6 and 2.5 and thickness of each is 1 cm. The conductor diameter is 1 cm. The system voltage is 66 kV, 3 phase. Determine the peak values cf the maximum stress in the two dielectrics.
Grading of Cables
We have seen that the stress in the
insulation is maximum at the conductor surface and minimum at the sheath. To
avoid the breakdown of the insulation, it is necessary to have uniform
distribution of stress all along the insulation.
Practically some methods are used to
obtain uniform distribution of stress. The process of obtaining uniform
distribution of stress in the insulation of cables is called grading of cables.
The unequal distribution of stress has
two effects,
1. Greater insulation thickness is
required, which increases the cost and size.
2. It may lead to the breakdown of insulation.
Hence the grading of cables is done.
There are two methods of grading the
cables which are,
1. Use of intersheaths for grading
2. Capacitance grading
Let us discuss these two grading methods
in detail.
In this method of grading, in between
the core and the lead sheath number of metallic sheaths are placed which are
called intersheaths. All these intersheaths are maintained at different
potentials by connecting them to the tappings of the transformer secondary. These
potentials are between the core potential and earth potential. Generally lead
is used for these sheaths as it is flexible and corrosion resistance but as its
mechanical strength is less, aluminium also can be used. Aluminium is low
weight and mechanically strong but it is much costlier than lead.
Using the intersheaths, maintaining at
different potential, uniform distribution of stress is obtained in the cables.
Consider a cable with core diameter d
and overall diameter with lead sheath as D. Let two intersheaths are used
having diameter d1 and d2 which are kept at the
potentials V1 and V2 respectively.
The intersheaths and stress distribution
is shown in the Fig. 6.8.1.

Let V1 = Voltage of intersheath
1 with respect to earth
V2 = Voltage of intersheath 2
with respect to earth
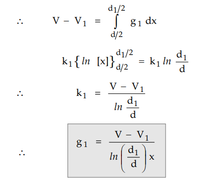
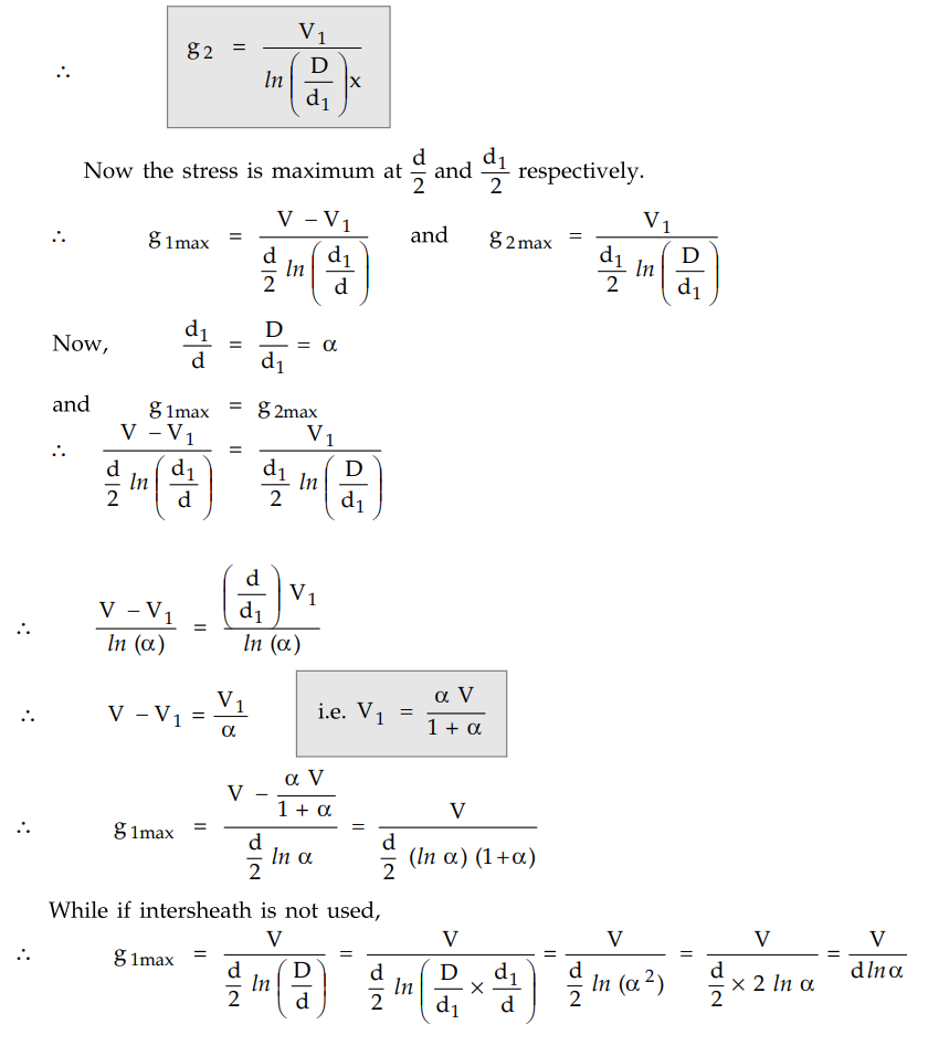
It has been proved that stress at a
point which is at a distance x is inversely proportional to distance x and
given by,
gx = Q / 2π εx
= k / x ... (6.8.1)
where k is constant.
So electric stress g1 between
the conductor and intersheath 1 is,
g1 = k1 / x where k1
= Constant
Now potential difference between core
and the first intersheath is V – V1.

The potential difference between
intersheath 2 and outermost sheath is V2 only as potential of
intersheath is maintained at V2 with respect to earth.

Choosing proper values of V1
and V2, glmax, g2max etc. can made equal and
hence uniform distribution of stress can be obtained.
The stress can be made to vary between
same maximum and minimum values as shown in the Fig. 6.6.1, by choosing d1
and d2 such that,

Example 6.8.1
A single core cable of conductor diameter 2 cm and lead sheath of diameter 5.3 cm is to be used on a 66 kV, 3-phase
system. Two inter sheaths of diameter 3.1 cm and 4.2 cm are introduced between
the core and lead sheath. If the maximum stress in the layers is the same, find
the voltages on the inter sheath.
Solution : d
= 2 cm, D = 5.3 cm, Vline = 66 kV,

Solving equations (4) and (5), V1 =
36.988 kV, V2 = 18.8373 kV.
Example 6.8.2
A single core cable has a conductor of diameter 2.5 cm and a sheath of
inside diameter 6 cm. Calculate the maximum stress. It is desired of reduce the
maximum stress by using two intersheaths. Determine their best positions, the
maximum stress and the voltages on each system. Voltage is 66 kV, 3 phase.
Solution : d = 2.5 cm and D = 6 cm, Vline
= 66 kV

Now two intersheaths are to be used. Let
d1 and d2 be the diameters of the two sheaths and maintained at the voltage Vx
and V2 respectively. The best position is such that the stress in all the
sections vary between the same maximum and minimum values which is possible
when,

The grading done by using the layers of
dielectrics having different permittivities between the core and the sheath is
called capacitance grading.
In intersheath grading, the permittivity
of dielectric is same everywhere and the dielectric is said to be homogeneous.
But in case of capacitance grading, a composite dielectric is used.
Let d1= Diameter of the
dielectric with permittivity ε1
and D = Diameter of the dielectric with
permittivity ε2 This is shown in the Fig. 6.8.3.

The stress at a point which is at a
distance x is inversely proportional to the distance x and given by,
gx = Q / 2π εx
Hence the stress at any point in the
inner dielectric is,
g1 = Q / 2π ε1x
Similarly the dielectric stress in the
outer dielectric is,
g2 = Q / 2π ε2x
Hence the total voltage V can be
expressed as,

The stress is maximum at surface of
conductor i.e. x = d/2.

Key Point
Thus the electric stress is inversely proportional to the permittivities and
the inner radii of the dielectrics.
a. Condition for Equal Maximum Stress
Let us obtain the condition under which
the maximum values of the stresses in the two regions are equal.
The maximum stresses are given by,

Now d1 is greater than d so
to satisfy above equation ε2 must be less than ε1.
Thus the dielectric nearest to the
conductor must have the highest permittivity.
Similar for the grading with three
dielectrics with permittivities ε1 , ε2 and ε3,
for equal maximum stress the condition is,

In the intersheath grading, the
intersheath has to be thin. Hence there is possibility of damage to it while
laying the cable. Similarly intersheath has to carry the charging current which
can cause overheating of cable.
In capacitance grading, to have uniform
distribution of stress it is necessary to select the dielectrics of proper
permittivities. But practically it is difficult to get the proper values of
permittivities. Similarly the permittivity of dielectric changes with the time which
can cause uneven distribution of stress. Such uneven distribution may lead to
breakdown at the normal operating voltage.
Example 6.8.3
For the same conductor diameter and overall dimensions compare the maximum
permissible potential difference between the core and sheath when the cable is
:
1. Ungraded with homogeneous dielectric
2. Graded with 3 dielectrics with
permittivities 5, 4 and 3.
The maximum permissible potential
gradient for all the dielectrics is the same and equals 33 kV/cm. The core diameter
is 2 cm and the sheath diameter is 6 cm.
Solution : Case 1 :
Ungraded cable

Permissible r.m.s. voltage for the cable
is,

Key Point
Thus the graded cable can withstand 1.42 times more voltage than the
ungraded cable.
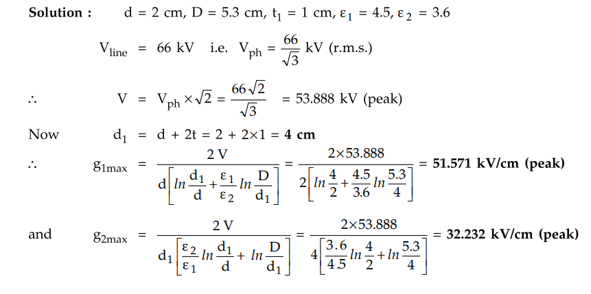
Example 6.8.4
A single core 66 kV cable has a conductor diameter of 2 cm and a sheath of
inside diameter 5.3 cm. The cable has an inner layer of 1 cm thickness of
rubber with dielectric constant 4.5 and the rest is impregnated paper with
dielectric constant 3.6. Find the maximum stress in each dielectric.
Solution :
d = 2 cm, D = 5.3 cm, t1 = 1
cm, ε1 = 4.5, ε2 = 3.6

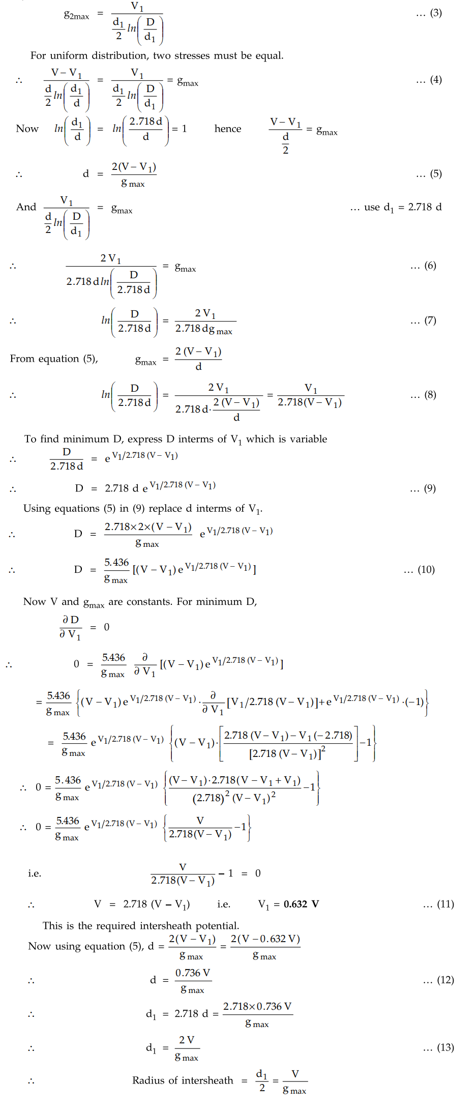
Example 6.8.5
Find the radius of the intersheath and the potential at which it must be maintained
for a single core metal sheathed cable such that the overall radius of the
cable is minimum. The operating voltage is V and overall diameter is D then
show that, D = 3.76V / gmax , is the maximum stress in dielectric
Solution :
Let d = Diameter of conductor, D = Overall diameter of cable
d1 = Diameter of intersheath,
V1 = Potential of intersheath
To have overall diameter D minimum,
conductor size d and also must be minimum for which we can write the relation
as,
d1 = 2.718 d ... (1)
This is due to intersheath in between.
Now the maximum stress in between
conductor and intersheath occurs on surface of the conductor given by,

While the potential of intersheath is V1
and lead outer sheath is earthed so maximum stress between intersheath and
outermost sheath occurs on surface of intersheath given by,

And the minimum overall diameter can be
obtained by substituting equations (11) and (12) in equation (9).

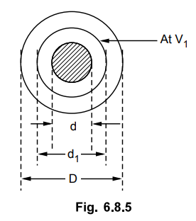
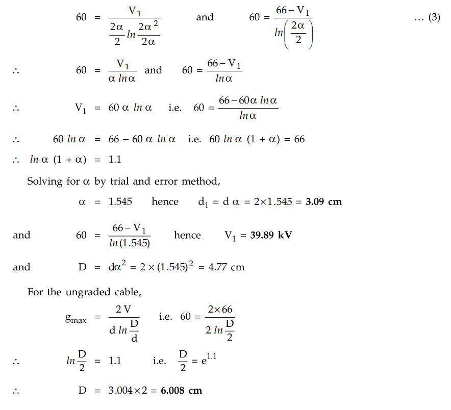
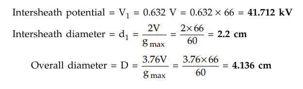
Example 6.8.6 A
single core metal sheathed cable operating on 66 kV, 1 phase system is to be
graded by a metallic intersheath. The core diameter is 2 cm and insulating
material has a permissible potential gradient of 60 kV/cm. Find :
a) The diameter of the intersheath
b) The potential at which intersheath
must be maintained
c) The diameter of outer sheath.
Calculate the sheath diameter if cable
is not graded under same core diameter and operating conditions.
Solution :
d = 2 cm, V = 66 kV (r.m.s.), gmax = 60 kV/cm
The arrangement is shown in the Fig.
6.8.5.

The maximum stress in between core and
intersheath is given by,

While the maximum stress between
intersheath and outer sheath is given by,

To vary the stress between same maximum
and minimum values,
d1/ d = D / d1 = α
d1 = d α and D = d1
α = dα2 and d = 2
Substituting in equations (1) and (2),

Example 6.8.7 A
single core cable of conductor diameter 2 cm and lead sheath of diameter 5.3 cm
is to be used on a 66 kV, 3 systems. Two inter sheath of diameter 3.1 cm and
4.2 cm are introduced between the core and lead sheath. If the maximum stress
in the layers is the same, find the voltage on the inter sheaths.
Solution : d = 2 cm, D = 5.3 cm, d1 = 3.1 cm,
d2 = 4.2 cm, Vline = 66 kV

Solving equations (1) and (2), V1
= 36.988 kV, V2 = 18.837 kV
Example 6.8.8
A conductor of 1 cm diameter passes centrally through a porcelain cylinder of
internal diameter 2 cms and external diameter 7 cms. The cylinder is surrounded
by a tightly fitting metal sheath. The permitivity of porcelain is 5 and the
peak voltage gradient in air must not exceed 34 kV/cm. Determine the maximum
safe working voltage.
AU : Dec.-04, Marks 8
Solution : For
the given cable, d = 1 cm, d1 = 2 cm, and D = 7 cm
Thus dielectric 1 is air with = ε0
while the dielectric 2 is porcelain with ε2 = ε0 εr = 5 ε0

Example 6.8.9
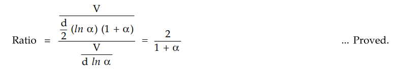
Prove that the ratio of voltage gradient with and without intersheath will
be 2/ (1+α) when there is only one layer of intersheath. (Ratio of intersheath
radius to core radius = (Outer sheath to intersheath radius = α)
AU: May-06, Marks 8
Solution: The intersheath is
shown in the Fig. 6.8.6.

Let V1 = Voltage of
intersheath 1 with respect to earth.
The stress at a point which is at a
distance x is inversely proportional to x and given by,
gx = Q / 2 πε x = k / x
So electric stress between conductor and
intersheath 1 is,
g1 = k1 / x
where k1 = Constant
The potential difference between core
and intersheath 1 is V - V1

The potential difference between
intersheath 1 and outermost sheath is V1 only as outer sheath is at
earth.

The ratio of voltage gradient with and
without intersheath is,

Example 6.8.10 A
single core, lead covered cable is to be designed for 66 kV to earth. Its
conductor radius is 0.5 cm and its three insulating materials A, B and C have
the relative permittivities of 4, 4 and 2.5 with maximum permissible stresses
of 50, 40 and 30 kV/cm respectively. Find the minimum internal diameter of the
lead sheath.
AU : Dec.-06, Marks 10
Solution :
r = 0.5 cm hence d = 2 × r = 1 cm

Example 6.8.11
A 66 kV, single core metal sheathed cable is to be graded by means of a
metallic intersheath. Calculate the diameter of the intersheath and the voltage
at which it must be maintained in order to obtain minimum overall diameter. The
maximum voltage gradient at which the insulating material can be worked is 60
kV/cm. Derive the formula used.
Solution :
For the derivation of formula, refer example 6.8.5. From the results,

Review Questions
1. What is grading of cables ? Discuss the capacitance
grading of cables in detail.
2. Discuss the intersheath grading of cables in detail.
3. With neat diagram, explain the various methods of
grading of underground cables.
4. A single core lead sheathed cable is graded using two
dielectrics of relative permittivity 3.6 (inner) and 2.5(outer), the thickness
of each being 1 cm. The core diameter is 1 cm. System voltage is 66 kV (line
value), 3 phase. Determine the maximum stress in the two dielectrics.
[Ans.: 29.376 kV/cm (peak), 28.20 kV/cm]
5. A 66 kV single cores lead sheathed cable is graded by
using two dielectrics of relative permittivity 5 and 3 respectively, thickness
of each being 1 cm. The core diameter is 2 cm. Determine the maximum stress in
the two dielectrics.
[Ans.: 39.36 kV/cm, 32.81 kV/cm]
6. Show that in a cable using two intersheaths the maximum
stress in the dielectric reduces by the factor 1 / (1/3) (1 + a + a2)
of the maximum stress in an ungraded cable where d1 / d = d2
/ d1 = D / d2 = a
and D = Sheath diameter, d = Core diameter whiled1 and d2 are the diameters of
intersheaths.
7. A cable has intersheath grading which satisfies d1 /
d = D / d1 = a
The conductor diameter is 2 cm while the intersheath
diameter is 5 cm. Determine the location of the intersheath. Calculate the
ratio cf maximum electric stress with and without intersheath.
[Ans.: Intersheath diameter 8.16 cm, 0.775]
8. A single core cable is graded using two dielectrics of
relative permittivities 3.6 and 2.5 and thickness of each is 1 cm. The conductor
diameter is 1 cm. The system voltage is 66 kV, 3 phase. Determine the peak
values cf the maximum stress in the two dielectrics.
[Ans.: 58.76 kV/cm, 28.21 kV/cm]
Transmission and Distribution: Unit IV: Underground Cables : Tag: : Use of Intersheaths - Capacitance - Difficulties - Grading of Cables
Transmission and Distribution
EE3401 TD 4th Semester EEE Dept | 2021 Regulation | 4th Semester EEE Dept 2021 Regulation