Questions : 1. Explain the thermal characteristics of a cable. 2. Write a note on heat flow in a cable.
Heat Flow in a Cable
As seen earlier, the current in the
cable, dielectric loss and sheath loss together cause the increase in the
temperature of the cable. The heat produced due to increase in temperature must
be dissipated to the soil. When rate of heat generation and dissipation becomes
equal then temperature becomes constant. This temperature infact is the
important factor for deciding current carrying capacity of the cable.
The path for the heat dissipation is
through the dielectric, then sheath, bedding, serving and finally into the
surrounding soil or air. The heat flow in a 3 phase belted cable is shown in
the Fig. 6.11.1 (a) while heat flow due to a three single core cable to ground
is shown in the Fig. 6.11.1 (b).
In case of three phase belted cable, the
heat flows through three parallel paths and all the three conductors are at
same temperature.
The overall heat flow in a cable is
similar to the flow of leakage current in an electric circuit ; flowing
radially out from core to ground through dielectric, sheath, bedding, armouring
and serving.
The current in an electric circuit is
given by,
I = Potential difference / Resistance = V/R
Similarly heat flow H is given by,
H = Temperature difference / Thermal
resistance = θ/S
Thermal resistance S is defined as the
resistance which allows the heat flow of 1 watt when a temperature difference
of 1 °C is maintained. It is given by,
S = kl / A thermal ohms
where
k = Thermal resistivity of the material
l = Length of the
path of heat flow
A = Area of section through which heat
flows
The thermal resistivity is expressed in oC/watt/cm
Consider the equivalent circuit for heat
flow in a three phase cable as shown in the Fig. 6.11.2.

The total temperature difference is
difference between conductor temperature and ambient temperature. The S1,
S2 and S3 are thermal resistances of the three dielectric
paths which are in parallel. Then heat flows through bedding whose thermal
resistance is S4. Finally it flows trough serving whose thermal
resistance is S5. The G represents the thermal resistance of ground
to ambient temperature. The current carrying capacity of cables depends on the
heat dissipation and to calculate it, it is necessary to obtain the thermal
resistances of various parts through which heat flows.
Consider a single core cable as shown in
the Fig. 6.11.3. Let


The value of k for the cables above 22
kV is 550 while it is 750 for pressure upto and including 22 kV.
It is difficult to find the expression
for the thermal resistance of three core cable. The empirical formula given by
Simon is,

where
T = Thickness of the conductor insulation
t = Thickness of the belt insulation
r = Radius of the conductor
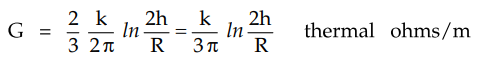
The thermal resistance of the soil
depends on the nature of the soil and its moisture content. Hence exactly
thermal resistance can not be obtained for the soil. Assuming the ground to be
isothermal and homogeneous, the thermal resistance of ground is given by,

where k = Thermal resistivity of soil
h = Depth of cable axis below the soil
R = Radius upto lead sheath i.e. overall
radius
In practice it is necessary to multiply
value of k by 2/3 which is obtained in the laboratory, to obtain actual value
of G.
Review Questions
1. Explain the thermal characteristics of a cable.
2. Write a note on heat flow in a cable.
Transmission and Distribution: Unit IV: Underground Cables : Tag: : Thermal Characteristics Thermal Resistance of Single Core Cable - Thermal Resistance of Soil - Heat Flow in a Cable
Transmission and Distribution
EE3401 TD 4th Semester EEE Dept | 2021 Regulation | 4th Semester EEE Dept 2021 Regulation