Key Point Remember that the non-inverting amplifier always amplifies voltage at its non-inverting terminal i.e. VB by (l + Rf /R1) times.
Important Point about Non-inverting Amplifier
Consider
a non-inverting amplifier shown in the Fig. 2.23.1 (a). In this case,
Vo
= (1 + Rf/R1)Vin
But
consider a non-inverting amplifier shown in the Fig. 2.23.1 (b). In this case
Vin is not directly applied to the non-inverting terminal.
Key Point Remember that the
non-inverting amplifier always amplifies voltage at its non-inverting terminal
i.e. VB by (l + Rf /R1) times.
In
second case the output voltage Vo is given by,

Then
analyzing circuit at non-inverting terminal, VB can be obtained interms of Vin.
In the circuit shown in the Fig. 2.23.1 (b), R2 -R3 forms
potential divider and as op-amp input current is zero,

This
fact helps to analyze complex op-amp circuits in which non-inverting amplifier
is a subpart.
Example
2.23.1 Find Vo for the circuit shown in the
Fig. 2.23.2.

Solution
:
This is non-inverting amplifier but it will amplify VB by 1 + Rf
/ R1 and not Vin = 10 V.
The
op-amp input current is zero hence part of the circuit is as shown in the Fig.
2.23.2 (a).

Example
2.23.2 Find Vo for the following circuit
shown in Fig. 2.23.3.
Dec.-09,
Marks 2

Solution
:
Use Superposition principle. When 4 V is acting, 3 V is grounded then it
behaves as inverting amplifier.
Vo1
= -4K/2K × 4 = -8V
When
3 V is acting , 4 V is grounded then it acts as noninverting amplifier.

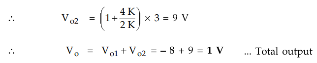
Example
2.23.3 Find Vo of the
following circuit.

Solution
:
Use Superposition principle.
Case
1:1V
acting, all other sources are grounded. The node B is grounded hence node A is
at virtual ground. Hence 25 kΩ resistor does not carry any current.
The
circuit behaves as an inverting amplifier.
Vo1
= -50 / 40 × 1 = - 1.25 V

Case
2
: 2V acting, all other sources are grounded. It behaves as an inverting
amplifier.
Vo2
= -50 / 25 × 2 = - 4 V

Case
3:
3V acting all other sources are grounded. It behaves as a noninverting amplifier
with,

Case
4:
4 V acting, all other sources are grounded. It acts as a noninverting amplifier
with,


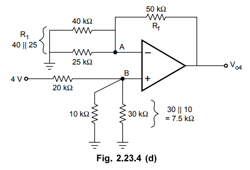
Example
2.23.4 Obtain the closed loop voltage Vo/Vi
of the circuit shown below

Solution
:
The various branch currents are shown in the Fig. 2.23.5 (a).

Linear Integrated Circuits: Unit II: Characteristics of Op-amp : Tag: : Op-amp - Important Point about Non-inverting Amplifier
Linear Integrated Circuits
EE3402 Lic Operational Amplifiers 4th Semester EEE Dept | 2021 Regulation | 4th Semester EEE Dept 2021 Regulation