When the capacitor has no initial charge or voltage, Q(0-) = 0 and Vc(0-) = 0. Therefore, from equations (9) and (10), Vc (0+) = q(0+) = 0.
INITIAL (BOUNDARY) CONDITION FOR CAPACITORS
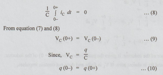
We
know that, ic (t) = C dVc (t) / dt … (5)
To
determine the capacitor voltage in terms of capacitor current, we write.

The
above expression states that the voltage at any time t, is proportional to the
integral of the current through the capacitor.
At t = 0+

The
interval from 0 to 0+ is almost zero. If ic is finite and does not contain
impulses or derivatives.

We
conclude that the voltage and hence the charge across the capacitor can not
change instantaneously. But the capacitor current has no such restriction.
ic
(0+) ≠ ic (0-)
When
the capacitor has no initial charge or voltage, Q(0-) = 0 and Vc(0-) = 0.
Therefore, from equations (9) and (10), Vc (0+) = q(0+) = 0.
Thus,
the capacitor with no initial voltage or charge behaves like a short circuit at
t = 0+.
The
capacitor with an initial charge qc (0-) = Qo is equivalent to a
voltage source of value Vco = Q0 / C at t = 0+.
Electric Circuit Analysis: Unit III: Transient Response Analysis : Tag: : Transient Response Analysis - Initial (boundary) condition for capacitors
Electric Circuit Analysis
EE3251 2nd Semester 2021 Regulation | 2nd Semester EEE Dept 2021 Regulation