It is seen that the m.m.f. wave produced by the single phase a.c. winding is pulsating, whose amplitude varies sinusoidally with time. This is because the current flowing in single phase a.c. winding is alternating in nature.
Magnetic
Field in Rotating Machines (Rotating Magnetic Field)
AU: April-03,
Dec.-03,06,07,08,09,10,12,16, May-03, 05, 07,11,14
•
It is seen that the m.m.f. wave produced by the single phase a.c. winding is
pulsating, whose amplitude varies sinusoidally with time. This is because the
current flowing in single phase a.c. winding is alternating in nature.
•
Now consider a magnetic field produced due to physical rotation of a permanent
magnet in a space with a certain speed. It produces a magnetic field whose
magnitude is constant but axis rotates in space with certain speed.
Key Point:
Thus a magnetic field having constant amplitude but whose axis continuously
rotates in a plane with a certain speed is called rotating magnetic field.
•
In a pulsating m.m.f. wave, the axis is fixed while amplitude varies
sinusoidally while in rotating magnetic field amplitude is constant but axis
rotates with a certain speed.
•
Consider a three phase a.c. winding, either star or delta connected supplied
from a three phase a.c. supply. This is shown in the Fig. 2.12.1.

•
The three sinusoidal phase currents simultaneously through the windings. These
currents are displaced from each other by 120° electrical. These currents can
be mathematically expressed as,
ia
= Im cos ωt ...(2.12.1a
ib
= Im cos (ωt-120°) ...(2.12.1b)
ic = Im cos (ωt-240°) ...(2.12.1c)
The
phase sequence is assumed to be a-b-c.
As
the supply is balanced and windings are identical, the maximum value Im of each
phase current is equal. These currents are shown in the Fig. 2.12.2. .

•
The instant is considered when phase a
current has attained its maximum value. Such three currents produce three
individual m.m.f. waves as discussed in the last section. These m.m.f. waves
also displaced by 120° electrical from each other in space and their magnetic
axes are coinciding with the axes of the respective phases as shown in the Fig.
2.12.3.

•
As the three individual m.m.f waves are separated by 120o electrical
from each other in space, their mathematical representation can be obtained as,

•
This equation shows that the resultant m.m.f. wave is a travelling wave. Its
magnitude is constant equal to 3/ 2 Fm while its phase angle changes
linearily with time as ωt. So its axis rotates in the air gap at a constant
speed of ω rad(elect)/sec.
Key Point:
This shows that when a three phase stationary windings are excited by balanced
three phase a.c. supply then the resulting field produced is rotating magnetic
field. Though nothing is physically rotating, the field produced is rotating in
space having constant amplitude.
Thus
at t1 =0, FR=3/2 Fm cosθ when phase a is at
its maximum. Thus axis of resultant m.m.f coincides with the axis of the phase
a.
At
t2 = 2π/3,
FR=3/2Fm cos( θ-2π/3 )and phase b is at its maximum. Thus
axis of resultant m.m.f. coincides with the axis of phase b.
At
t3 = 4π/3 the axis of resultant m.m.f. coincides with the axis of
phase c and so on.
Key Point:
So if phase sequence is a-b-c, the rotating magnetic field rotates in the
direction of phase sequence.
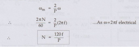
It is known that its speed is ω rad(elect)/sec. The mechanical angular velocity ωm is related to electrical ω as,

•
This is the speed of the rotating magnetic field. This is called synchronous
speed and denoted as Ns.
Key Point:
Thus rotating magnetic field rotates with synchronous speed Ns.
•
The direction of the R.M.F. is always from the axis of the leading phase of the
three phase winding towards the lagging phase of the winding. In a phase
sequence of R-Y-B, phase R leads Y by 120° and Y leads B by 120°. So R.M.F.
rotates from axis of R to axis of Y and then to axis of B and so on. So its 084
direction is clockwise as shown in the Fig. 2.12.4 (a). This direction can be
reversed by interchanging any two terminals of the three phase windings while
connecting to the three phase supply. The terminals Y and B are shown
interchanged in the Fig. 2.12.4 (b). In such case the direction of R.M.F. will
be anticlockwise.

•
As Y and of windings are connected to B and Y from winding point of view the
phase sequence becomes R-B-Y. Thus R.M.F. axis follows the direction from R to
B to Y which is anticlockwise.
Key Point :
Thus by interchanging any two terminals of three phase winding while connecting
it to three phase a.c. supply, direction of rotation of R.M.F. gets reversed.
•
The resultant m.m.f. wave due to three phase a.c. winding is.

Where
Im = Maximum value of the phase current
Key Point:
The rotating magnetic field is also called rotating m.m.f. wave in three phase
a.c. machines.
•
Neglecting reluctance of iron path, the resultant m.m.f. produces sinusoidal
rotating flux density (B) wave in air gap whose peak value is given by,
Bpeak
= 3µ0Fm / 2g
Where
g = Length of the air gap
Ex. 2.12.1
A 3-phase, 440 kVA, 50 Hz, star connected
synchronous generator running at 400 r.p.m. is designed to develop 3600 between
terminals. The armature consists of 180 slots, each slot having one coil side
with eight conductors. Determine the peak value of the fundamental mmf in
AT/pole when the machine is delivering full load current. AU: April-03, Marks 10
Sol.

Ex. 2.12.2
A 3 phase, 40 kW, 4 pole, 50 Hz induction
motor has a winding (a.c.) designed for delta connection. The winding has 24
conductors per slot arranged in 60 slots. The r.m.s. value of the line current
is 40 A. Find the fundamental of the m.m.f. wave of phase-A when the current is
passing through its maximum value. What is the speed and peak value of the
resultant m.m.f./pole?
AU: Dec.-07, 09, May-11, Marks 8
Sol.

Review Questions
1. Explain with the
help of neat diagram about the nature of the rotating magnetic field produced
when a three phase supply is connected across a three phase winding. AU: May-03, 05, 07,
Dec.-03, 06, 08, 10, Marks 8
2. Explain the
concept of rotating magnetic field. AU: Dec.-12, Marks 16
3. Prove that the
resultant m.m.f. wave of three phase a.c.winding is rotating in space with
speed ω but its magnitude is constant.
4. Explain briefly
the production of rotating magnetic field. What are the speed and direction of
rotation of the field? Is the speed uniform?
Electrical Machines: Unit I: b. Electromechanical Energy Conversion : Tag: : - Magnetic Field in Rotating Machines (Rotating Magnetic Field)
Electrical Machines I
EE3303 EM 1 3rd Semester EEE Dept | 2021 Regulation | 3rd Semester EEE Dept 2021 Regulation