• Consider an infinitely long straight conductor, along z-axis. The current passing through the conductor is a direct current of I amp.
due to Infinitely Long Straight Conductor
AU
: May-03, 04, 06, 07, Dec.-09, 10, 12, 16, 18
•
Consider an infinitely long straight conductor, along z-axis. The current
passing through the conductor is a direct current of I amp. The field intensity
at a point P is to be calculated, which is at a distance 'r' from the z
axis. This is shown in the Fig. 7.4.1.

•
Consider small differential element at point 1, along the z-axis, at a distance
z from origin.

•
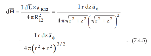
The distance vector joining point 1 to point 2 is
and can be
written as,

While
obtaining cross product,
is neglected for convenience and must be
considered for further calculations.

According
to Biot-Savart law,
at point 2 is,

•
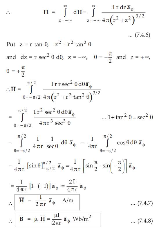
Thus total field intensity
can be obtained by integrating
over the entire length of the conductor.

The
following observations are important about
:
1.
The magnitude of magnetic field intensity
is not a function of ϕ or
z. It is inversely proportional to r which is the perpendicular distance of the
point from the conductor.
2.
The direction of
is tangential i.e. circumferential along
This direction is going into the plane of the paper at point P.
3.
The streamlines i.e. magnetic flux lines are in the form of concentric circles
around the conductor. Thus if conductor is viewed from the top with I coming
out of the paper towards observer, then the streamlines are anticlockwise.
Review Questions
1. Obtain the flux
density produced by an infinitely long straight wire carrying a current I, at
any point distant 'a' normal to the wire.
AU : May-03, 04, 06,
07, Dec.-09, 10, Marks 10, Dec.-12, 18, Marks 8
2. Derive the
expression for magnetic field intensity due to infinitely long straight
conductor carrying a current of I amps along Z-axis.
AU : Dec.-16, Marks 13
Electromagnetic Theory: Unit III: (a) Magnetostatics : Tag: : - Magnetic field intensity (H) due to Infinitely Long Straight Conductor
Electromagnetic Theory
EE3301 3rd Semester EEE Dept | 2021 Regulation | 3rd Semester EEE Dept 2021 Regulation