• The magnetic flux density has units Wb/m2 and hence it can be defined as the flux in webers passing through unit area in a plane at right angles to the direction flux.
Magnetic Flux and Flux Density
•
The magnetic flux density
is analogous to the electric flux density
The relation between
and
is already mentioned,
which is through the property of medium called permeability u. The relation is
given by,

(7.11.1)
For
the free space, μ = μ0 = 4л × 10-7 Н/m hence,

•
The magnetic flux density has units Wb/m2 and hence it can be
defined as the flux in webers passing through unit area in a plane at right
angles to the direction flux.
•
If the flux passing through the unit area is not exactly at right angles to the
plane consisting the area but making some angle with the plane then the flux
crossing the area is given by,

•
Now consider a closed surface which is defining a certain volume. The magnetic
flux lines are always exist in the form of closed loop. Thus for a closed surface
the number of magnetic flux lines entering must be equal to the number of
magnetic flux lines leaving. The single magnetic pole can not exists like a
single isolated electric charge. No magnetic flux can reside in a closed
surface. Hence the integral
evaluated over a closed surface is
always zero.

•
This is called law of conservation of magnetic flux or Gauss's law in integral
form for magnetic fields.
•
Applying divergence theorem to equation (7.11.4),

•
The divergence of magnetic flux density is always zero. This is called Gauss's
law in differential form for magnetic fields. This is another Maxwell's
equation.
•
Let us summarize the Maxwell's equations for static electric and magnetic
fields.

•
The Maxwell's equations in integral form can be summarized as,

•
Let us obtain the flux between the conductors of a co-axial cable using the
concepts of flux density and the flux.
•
The co-axial cable is shown in the Fig. 7.11.1, such that its axis is along the
z-axis.

The
radius of the inner conductor is 'a' while the inner radius of the outer
conductor is 'b'. It carries a direct current I which is uniformly distributed
in the inner conductor. The outer conductor carries same current I in opposite
direction to that carried by the inner conductor.
•
As derived in the section 7.9.2,
in the region a < r < b is
given by,

•
We are interested in the flux in the region a < r < b. The cable is
filled with the air as dielectric with µ = µ0.

•
Let d be the length of the conductors. The magnetic flux contained between the
conductors in a length d is the magnetic flux crossing the radial plane from r
= a to r = b and for z = 0 to z = d.
The
magnetic flux is given by,

Ex.
7.11.1 In cylindrical co-ordinates
Tesla. Determine the magnetic
flux A crossing the plane surface defined by 0.5 ≤ r ≤ 2.5m and 0 ≤ z ≤ 2 m
Sol.
:
The surface is shown in the Fig. 7.11.2.

Ex.
7.11.2 Find the flux passing the portion of the plane ϕ = π/ 4 defined by
0.01
< r < 0.05 m and 0 < z < 2m A current filament of 2.5 A is along the z
axis in the
direction, in free space.
Sol.
:
The arrangement is shown in the Fig. 7.11.3.

Due
to current carrying conductor in free space along z axis,
is given
by,

The
flux crossing the surface is given by,

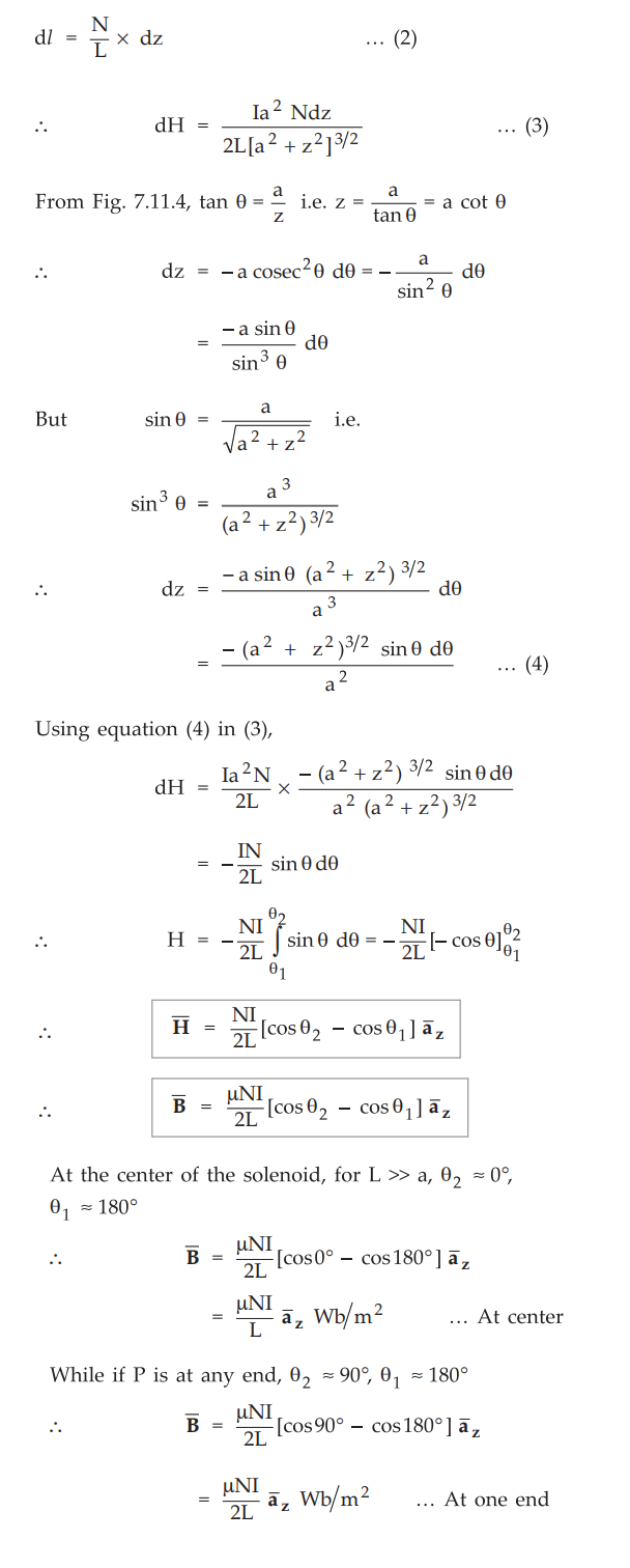
Ex.
7.11.3 Derive a general expression for the magnetic flux density B at any point
along the axis of a long solenoid. Sketch the variation of B from point to
point along the axis.
AU
: May-05, 13, Dec.-13, 14, Marks 16
Sol.
:
Consider the cross-section of the solenoid as shown in the Fig. 7.11.4 with its
axis along z direction.

The
solenoid is made up of turns which are arranged in circular loops. Thus a
circular loop at dz produces a magnetic field at point P which is at a distance
z on its axis. Let current through solenoid is I amperes.

Use
the result of section 7.7 for obtaining H on the axis of a circular loop with r
= a.
Let
N / L = Number of turns per unit length.

The
variation B along the axis is shown in the Fig. 7.11.5.

It
can be seen that the field strength at the end of the long solenoid is one half
of that at the center.
Examples for Practice
Ex.
7.11.4 A radial field,
exists
in free space. Find the magnetic flux crossing the surface defined by 0 ≤ ϕ ≤ π/
and 0 <z < 1 m.
[Ans.:
2.1236 Wb]
Ex.
7.11.5 A radial magnectic field
exists
in free space.
Find
the magnetic flux ϕ crossing the surface defined by – π/4 ≤ ϕ π/4, 0 ≤ z ≤ 1m.
[Ans. : 3.9789 Wb]
Review Questions
1. Derive the expression for the flux in a coaxial cable.
2. Write a note on magnetic flux density.
3. What is law of conservation of magnetic flux ?
4. Show that the magnetic field intensity at the end of a long
solenoid is one half of that at the center.
Electromagnetic Theory: Unit III: (a) Magnetostatics : Tag: : with Example Solved Problems | Magnetostatics - Magnetic Flux and Flux Density
Electromagnetic Theory
EE3301 3rd Semester EEE Dept | 2021 Regulation | 3rd Semester EEE Dept 2021 Regulation