• We have already studied that in any magnetic material, the electrons revolve in the orbits around the positive central nucleus. Simultaneously the electrons also rotate or spin about their own axes.
Magnetization and Permeability
AU
: Dec.-05, May-10, 18
•
We have already studied that in any magnetic material, the electrons revolve in
the orbits around the positive central nucleus. Simultaneously the electrons
also rotate or spin about their own axes.
•
The movement of the orbital electrons, electron spin and nuclear spin produce
internal magnetic field similar to that produced by current loop. The current
produced by the bound charges (orbital electrons, electron spin, nuclear spin)
is called bound current represented by Ib. The bound charges are charges which
are bound to nucleus. (The current by free charges is called free current.) The
field produced due to movement of bound charges is called magnetization
represented by
. There is a dimensional equivalence between
and
. Generally it is represented in terms of the magnetic dipole moment
.

•
Let the bound current Ib flows through a closed path. Assume that this closed
path encloses a differential area
Then the magnetic dipole moment is
given by

•
Now consider a differential volume AV. Assume that there are n magnetic dipoles
per unit volume. The total magnetic dipole moment can be obtained summing up
all the individual magnetic dipole moment of each magnetic dipole. Note that,
we must add all these moment vectorically

•
The magnetization is defined as the magnetic
dipole moment per unit volume. Its unit is A/m.

•
Consider a differential volume When external field is not applied
to the material, there is random orientation of the magnetic dipole moments as
shown in the Fig. 8.7.2 (a). Thus the total sum of the magnetic dipole moments
is zero. Thus the magnetization
is also zero. With the application
of an external field
, the magnetic moments of electrons tend to
align with
on there own such that net magnetic moment is not equal to
zero. Refer Fig. 8.7.2 (b).

•
Let us consider alignment of a magnetic dipole along a closed path as shown in
the Fig. 8.7.3.

•
From above representation it is clear that the magnetic moment
makes
angle θ with the element of the closed path
. Thus its component along
the direction of dL is nothing but the projection of
on
The magnetic
dipole moment is perpendicular to the surface area dS. To obtain magnetic
moment making angle θ° with dL, it is necessary to consider differential volume
defined by differential surface area dS and component of dL in the direction of
magnetic moment. Thus differential volume can be defined as dS dL cos 0 and
according to definition of the dot product, it is expressed as
. But
in this small volume there are n
total magnetic moments. Under the
external magnetic field, random orientiation changes to partial alignment of
the magnetic moments. To achieve this the bound current increases by Ib
for each magnetic dipole. Hence we can write,

•
Basically
is nothing but magnetic dipole moment multiplied by
number of magnetic dipoles per unit volume gives magnetization. The increase in
current for part of the closed path is represented by equation (8.7.4).
Actually there are large number of magnetic moments along a closed path. Thus
the total increase in current can be obtained by integrating equation (8.7.4)
over a closed path.

•
The total current is the summation of bound current (Ib) and free current (I).
Note that the free current is due to the free electrons i.e. it is conventional
current.
•
Writing Ampere circuital law for the total current IT,

•
Compare this equation with the expression of Ampere's circuital law given by,

•
The relationship in equation (8.7.10) is true for all the materials
irrespective of the nature of material whether it is linear or not.
•
For linear, isotropic magnetic materials,

•
The quantity Xm is dimensionless and is called magnetic
susceptibility of the medium. Thus the magnetic susceptibility measures how
susceptible the material is to a magnetic field.
•
Substituting value of
, from equation (8.7.11), in equation
(8.7.10),

•
But for any magnetic material we can write

•
Comparing equations (8.7.12) and (8.7.13), the relative permeability can be
expressed interms of magnetic susceptibility as

•
In general µ = µ0µr is called permeability of a material.
It is measured in henry/meter (H/m). But the relative permeability is a
dimensionless quantity similar to the magnetic susceptibility.
•
Consider again the expressions for the currents. These currents can be
expressed interms of the current densities. Let
be the total current
density,
be the bound current density and
be the free current
density. Then we can write the expressions for currents as,

From
the curl definition we can write,

•
Equation (8.7.15) is nothing but the point form of Ampere's circuital law.
Ex.
8.7.1 Find the magnetic field intensity within a magnetic material where
a)
M = 150 Aim and µ = 1.5 × 10-5 Hm
b)
B = 300 µT and Xm = 15
c)
There are 8.2 × 1028 atoms/m3, each atom has a dipole
moment of 5 × 10-27 Am2 and µr = 30.
Sol.
:
a) The relative permeability µr can be obtained as,

The
magnetic field intensity and the magnetization are related to each other as,
M
= Xm H = (µr -1) H
The
magnetic field intensity thus can be obtained as,
H
= M / µr – 1 = 150 / 11.9366 – 1 = 13.7154 A/m
b)
The magnetic flux density is given by,

Ex.
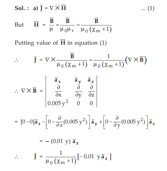
8.7.2 In certain region, the magnetic flux density in a magnetic material with
Xm = 6 is given as
. At y = 0.4 m, find the magnitude of;

Sol.
:


Examples
for Practice
Ex.
8.7.3 Find the permeability of the material
whose magnetic susceptibility is 49.
[Ans.
: 31.4159 × 10-6 H / m]

Review Questions
1. What is magnetization
2. Define the terms : magnetic permeability.
3. Explain magnetization in magnetic materials and explain how
the effect of magnetization is taken into account in the calculation of B/H.
AU : Dec.-05, Marks 10
Electromagnetic Theory: Unit III: (b) Magnetic Forces, Magnetic Materials and Inductance : Tag: : - Magnetization and Permeability
Electromagnetic Theory
EE3301 3rd Semester EEE Dept | 2021 Regulation | 3rd Semester EEE Dept 2021 Regulation