• This is volume charge density around a point. The equation (3.9.6) is called Maxwell's first equation applied to electrostatics. This is also called the point form of Gauss's law or Gauss's law in differential form.
Maxwell's First Equation
•
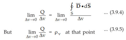
The divergence of electric flux density
is given by,

According
to Gauss's law, it is known that

Expressing
Gauss's law per unit volume basis

Taking
lim Δv → 0 i.e. volume shrinks to zero,

•
The equation (3.9.5) gives the volume charge density at the point where
divergence is obtained.
•
Equating equations (3.9.1) and (3.9.5),

•
This is volume charge density around a point. The equation (3.9.6) is called
Maxwell's first equation applied to electrostatics. This is also called the
point form of Gauss's law or Gauss's law in differential form.
The
statement of Gauss’s law in point form is,
The
divergence of electric flux density in a medium at a point (differential volume
shrinking to zero), is equal to the volume charge density (charge per unit
volume) at the same point.

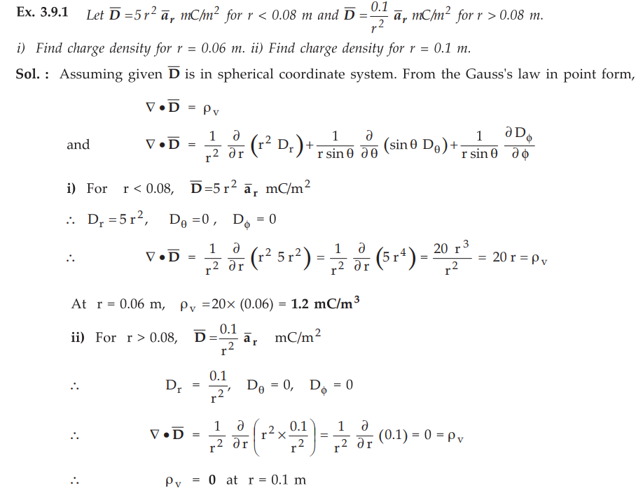
Ex.
3.9.2 Prove that the divergence of the electric field and that of electric flux
density in a charge free region is zero.
Sol.
:
From point form of Gauss's law we can write,


Electromagnetic Theory: Unit I: (c) Gauss Law and Applications : Tag: : Definition, Equation, Solved Example Problems - Maxwell's First Equation
Electromagnetic Theory
EE3301 3rd Semester EEE Dept | 2021 Regulation | 3rd Semester EEE Dept 2021 Regulation