Electron Devices and Circuits: Unit II: (c) MOSFET : Examples for Practice
Examples for Practice
Ex.
4.5.11 : For the transistor shown in the Fig. 4.5.15 the parameters are VT
=1V, k = 0.5 mA/V2. Determine VGS, ID and VDS.

[Ans.
: VGS = 1.732 V, VDS = 4.464 V, ID = 0.268 mA]
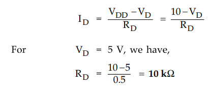
Ex.
4.5.12 : Calculate VGS, VDS and ID for the
Fig. 4.5.16, the MOSFET parameters are :

[Ans. : VGS = 1.552 V, VDS
= 5.344 V, ID = 0.776 mA]
b.
Constant Current Source Biasing Circuit
•
Another way of biasing MOSFET to stabilize the Q-point is to use constant
current source instead of source resistance, as shown in the Fig. 4.5.17 (a).
The constant current source is independent of the MOSFET parameters, thereby
stabilizing the Q-point.
•
The Fig. 4.5.17 (b) shows the d.c. equivalent circuit for common source circuit
biased with a constant current source.

Ex.
4.5.13 The parameters of the MOSFET in the circuit shown in Fig. 4.5.17 (a) are
VT = 0.8 V, k' = 80 µA/v2 and W/L = 3. Design the circuit such that the
quiescent values are ID = 500 pA and VD = 5 V. Assume VDD = + 10V and Vss = -
10 V.
Sol.
:
The d.c. equivalent circuit is shown in Fig. 4.5.17 (b). Since vi = 0, the gate
is at ground potential and there is no gate current through RG- Assuming the
MOSFET is biased in the saturation region, we have

The
voltage at the source terminal is VS = - VGS = - 2.84 V.
The
drain current can also be written as,

The
drain-to-source voltage is
VDS
= VD - VS = 5 -(-2.84) = 7.84 V
Validity
of assumption :
Since
VDS = 784 V > VDS(sat) = = VGS - VT
= 2.84 - 0.8 = 2.04 V the MOSFET, is biased in the saturation region, as
initially assumed.
Review Questions
1. Write a note on biasing of MOSFET.
2. Draw and explain the working of common-source biasing circuit
for MOSFET.
3. Write a note on constant current source biasing of MOSFET.
Electron Devices and Circuits: Unit II: (c) MOSFET : Tag: : - MOSFET: Solved Example Problems for Practice
Electron Devices and Circuits
EC3301 3rd Semester EEE Dept | 2021 Regulation | 3rd Semester EEE Dept 2021 Regulation