For continuous energy conversion devices like Stator alternators, synchronous motors etc., multiply excited magnetic systems are used. In practice, doubly excited systems are very much in use.
Multiple
Excited Magnetic System
AU : May-03, 06, 07, 10, 11, 13,
14, 15, 16, Dec.-03, 04, 05, 10, 12, 14, 15, 18, 19, April-04, Oct.-02
• For continuous energy conversion devices
like Stator alternators, synchronous motors etc., multiply excited magnetic
systems are used. In practice, doubly excited systems are very much in use.
•
The Fig. 2.7.1 shows doubly excited magnetic system. This system has two
independent sources of excitations. One source is connected to coil on stator
while other is connected to coil on rotor.

Let i1
= Current due to source 1
i2
= Current due to source 2
λ1 = Flux linkages due to i1
λ2=
Flux linkages due to i2
θ
= Angular displacement of rotor
Tf
= Torque developed
Due
to two sources, there are two sets of three independent variables i.e. (λ1
, λ2 , θ) or (i1 , i2 , θ).
Case
1 : Independent variables λ1 , λ2 , θ , i.e. λ1 ,
λ2 , are constants.
From
the earlier analysis it is known,

Ex. 2.7.1 Two coupled coils have self and
mutual inductance of
L11
= 3 + 1/3x’;L22 = 1 + 3 1/3x’;L12 = L21 =1/3x
Over a certain range of linear displacement x.
The first coil is excited by a constant current of 10 A and the second by a
constant current of - 5 A. Find the mechanical work done if x changes from 0.5
to 1 m and energy supplied by each electrical source for the above case. AU
: April-04, Marks 16
Sol. :
As coils are excited by constant currents, co-energy expressions to be used.

Ex 2.7.2
Two coupled
coils have self and mutual inductance of L11 = 3+1/3x’L22
=1+1/4x’L12 = L21 = 1/2x over a certain range of linear
displacement x. Find the expression for the time-average force of field origin
at x = 0.6 m if :
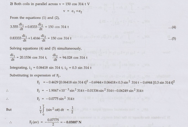
1) Both coils are connected in series across a
voltage source of 150 cos 314 t V.
2) Both coils are connected in
parallel across a voltage source of 150 cos 314 t V.
AU : Oct.-02, Marks 8
Sol. :


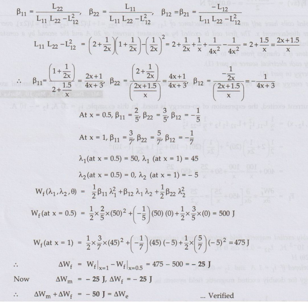
Ex. 2.7.3 Two coupled coils have self and mutual inductance of L11 = 2 + 1/(2x); L22 =1+1/(2x); L12 = L21 = 1/(2x), over a certain range of linear displacement x. The first coil is excited by a constant current of 20 A and the second by a constant current of - 10 A. Find
1) Mechanical work done if x changes from 0.5 to 1 m.
2) Energy supplied by each
electrical source in part (1).
3) Change in field energy in part
(1).
Hence verify that the energy supplied by the
sources is equal to the increase in the field energy plus the mechanical work
done. AU : Dec.-05,
12, May-10, Marks 8
Sol. :

3) To
obtain the change in the field energy, it is necessary to calculate βs

Ex 2.7.4
In the rectangular elecromagnetic relay, there are two coils. L11=K1/x’,
L12=K2/x and L22 = K3/x where x is
the air gap at each end of the armature, which is free at both the ends. Find the
expression for the force on the armature if, i1 = I1, sin
???t and i2 = I2, sin ????t. Write an expression for the
average force. For what relationship between w1, and w2
is the average force i) Maximum and ii) Minimum?
Sol.
:
The
stored energy is given by,

Ex. 2.7.5
For doubly excited magnetic field system,
various inductances are, L11 = (4 + cos2θ) x 10-3H, L12
= 0.15 cos θ H, L22 = (20 + 5 cos 2θ) H
Find the
torque developed if i1 = 1 A and i2 = 0.02 A.
Sol. :
The co-energy for doubly excited magnetic field system is,

The
first term is reluctance torque, which appears if self inductances are
functions of θ. The second term is torque due to mutual component. The
reluctance torque term is a double frequency of the θ as compared to second
term. The negative sign indicates that torque is in the direction opposite to θ
i.e. acts as restoring torque.
Ex. 2.7.6
Two windings, one mounted in stator and other at rotor have self and mutual
inductance of L11 = 4.5 and L22 = 2.5, L12 =
2.8 cosθ H, where θ is the angle between axes of winding. Winding 2 is short
circuited and current in winding as a function of time is in = 10 sin ??t A.
i)
Determine the expression for numerical value in Newton-meter for the instantaneous
value of torque in terms of θ.r[8]
ii)
Compute the time average torque in Newton-meter when θ = 45°[4]
iii)
If the rotor is allowed to move, will it continuously rotate or it will come to
rest? If later at which value of θ0.[4]
AU : Dec.-10.15, Marks 16
Sol. :

Ex. 2.7.7
A doubly-excited magnetic field system
has coil self and mutual inductance of L11
= L22 = 2 H and L12 = L21 = cos θ. Where θ is
the angle between the axes of the coils.
i) The coils are connected in parallel to a
voltage source v = Vm sin ???t. Derive an expression for the
instantaneous torque as a function of the angular position θ. Find there from
the time-average torque. Evaluate for θ = 30°, v = 100 sin 314 t. ii) If coil 2 is shorted while coil 1
carries a current of i1 = Im sin ?? t, derive expression
for the instantaneous and time-average torques. Compute the value of the
time-average torque when θ = 45° and i1 = √2 sin 314 t.
AU : May-11, Marks 16
Sol. :

Review Questions
1. Derive expression
for co-energy in a multiply excited magnetic field system. AU : May-03, Marks 8
2. With an example explain the Multiple - excited magnetic field
system.
AU : Dec.-03, 19,
May-16, Marks 16
3. Derive the
expression for the magnetic torque and force developed for doubly excited
magnetic system. AU : Dec.-03, 04, 05, 12, 14, May-10, 13, Marks 10
4. Show that the
torque developed in doubly excited magnetic system is equal to the rate of
increase of field energy with respect to displacement at constant current. AU : May-06,14,
Dec.-15, Marks 8
5. Derive the field
energy, co-energy and force for a doubly excited systems. AU : May-07, Marks 10,
Dec.-18, Marks 13
6. Two coils have
self and mutual inductances of L11 = L22 = 2/1+2x= 2L12.
Calculate the time average force and coil currents at x = 0.5 m if both the
coils are connected in parallel across a voltage source of v = 100 cos 314 t.
[Ans. : -0.0338 N,
0.2123 sin 314t A]
7. Two coupled coils
have self and mutual inductances of L11
=2+1/2x, L12 =L21 =1/2x’ L22 =1+ 1/2x’ over a certain range
of linear displacement x. Find the expression for the time average force of
field origin at x = 0.5 m if both the coils are connected in series and carry a
current of 0.5 cos 314 t A.
[Ans. : - cos2314 N]
8. The self and
mututal inductances of the two exciting coils of a multiply excited translatory
system are :
L11 = L22
= 36/1+2x’ L12 =L21 = 18/1+2x
Calculate the time,
average force and coil currents at x = 0.4 m when both the coils are connected
in parallel across a voltage source of 100 cos 314 t.
[Ans. : 0.1061 sin 314 t, - 0.03752 sin2314 t
-0.01876 N]
9. A doubly excited magnetic field system has coil self and mutual inductances of L11 = L22 = 2 and L21 = L12 = cos 2θ where θ is the angle between the axes of the coils. If coil 2 is shorted while coil 1 carries a current of i = Im sinot, derive the expressions for instantaneous and time average torques. Find the time average torque when θ = π/4 and i1 = √2 sin 314 t.
[Ans. : im sin 20 cos20, 0 Nm]
10. With neat sketch explain the multiple excited magnetic field
system in eletromechanical energy conversion systems. Also obtain the
expression for field energy in the system. AU : May-15, Marks 16
Electrical Machines: Unit I: b. Electromechanical Energy Conversion : Tag: : with Solved Example Problems - Multiple Excited Magnetic System
Electrical Machines I
EE3303 EM 1 3rd Semester EEE Dept | 2021 Regulation | 3rd Semester EEE Dept 2021 Regulation