Circuits which exhibit more than one resonant frequency are called multiple resonant circuits.
MULTIPLE RESONANCE
Circuits
which exhibit more than one resonant frequency are called multiple resonant
circuits.
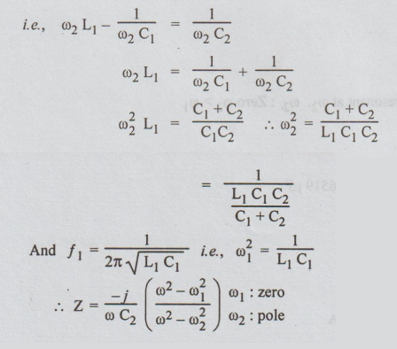
L1
C1 series resonant at f1. Inductive at f2.
F2
> f1
L1
C1 in parallel with C2 is parallel resonant at ƒ2.
ω1
= 2π f1; ω2 = 2π f2; 0 = 2π f
Where
ƒ is any frequency.

At
ω2, Reactance of L1 C1 arm = Reactance of C2
arm

Here,
pole is greater than zero.
ω1
< ω1 : ω2 : z is capacitive
ω1
< ω < ω2 : z is inductive
ω1
< ω2 < ω : z is capacitive
Example:
Zero at 1296 KHz
Pole
at 1476 KHz

Capacitive
at all other frequencies
Reactance
of: 936 KHz 1296 KHz 1350 KHz

L1
|| C1 is capacitive for ω > ω1
L0
in series with L1 || C1 is series resonant at ω2
ω2 : Zero ω2 > ω1

Domain
of ω :
Z:
ω < ω2 inductive
ω1
< ω < ω2 capacitive
ω1
< ω2 < ω inductive
Practical
Problem:
ZAB
= Z Ohms
f
= Working frequency in KHz
L1,
L2 : μH ; C1: pF
L1
|| C1 : Parallel resonant at 2 f
L2
in series with L1 || C1 series resonant at 3 f.
ZAB
= Z at f (inductive)

Electric Circuit Analysis: Unit V: Resonance and coupled circuits : Tag: : Resonance circuits - Multiple Resonance
Electric Circuit Analysis
EE3251 2nd Semester 2021 Regulation | 2nd Semester EEE Dept 2021 Regulation