• Consider a rectangular loop with sides a and b as shown in the Fig. 8.11.1. A straight, long conductor is kept parallel to the longer side of the loop, along z-axis. A loop is kept at distance d from long conductor as shown.
Mutual Inductance between a Long, Straight Wire and Rectangular
Loop Laying in Same Plane
•
Consider a rectangular loop with sides a and b as shown in the Fig. 8.11.1. A
straight, long conductor is kept parallel to the longer side of the loop, along
z-axis. A loop is kept at distance d from long conductor as shown.

•
Consider that long, straight wire is circuit 1, while a rectangular loop is
circuit 2. The magnetic field intensity at a distance ρ from the long
conductor, due to current I1 in it can be expressed using Ampere's
circuital law.

•
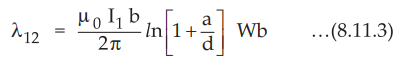
The flux linkage in the circuit 2 i.e. a rectangular loop due to current II, in
circuit 1 i.e. straight long conductor is denoted as λ12. The flux
linkage in rectangular loop is given by,

•
Solving above equation, we get,

•
Assuming single turn circuit, the mutual inductance is given by,

• If the loop in parallel with a long, straight conductor is square loop with each side of 'a' units, then the mutual inductance between a square loop and a long straight conductor is given by

Ex.
8.11.1 A straight long wire is situated parallel to one side of a square coil.
Each side of the coil has a length of 10 cm. The distance between straight wire
and the centre of the coil is 20 cm. Find mutual inductance of the system.
Derive formula used.
Sol.
:
Given : a = 10 cm = 10 × 10-2 = 0.1 m d = 20 cm = 20 × 10-2
= 0.2 m

The
mutual inductance between the long straight wire and square coil is given by,

Review Question
1. Determine mutual inductance between straight long wire and a
square loop.
Electromagnetic Theory: Unit III: (b) Magnetic Forces, Magnetic Materials and Inductance : Tag: : - Mutual Inductance between a Long, Straight Wire and Rectangular Loop Laying in Same Plane
Electromagnetic Theory
EE3301 3rd Semester EEE Dept | 2021 Regulation | 3rd Semester EEE Dept 2021 Regulation